Abstract
abstract
Key benefits
key
Introduction
introduction
Methods
methods
Conclusion
conclusion
References
references
abstract

Abstract

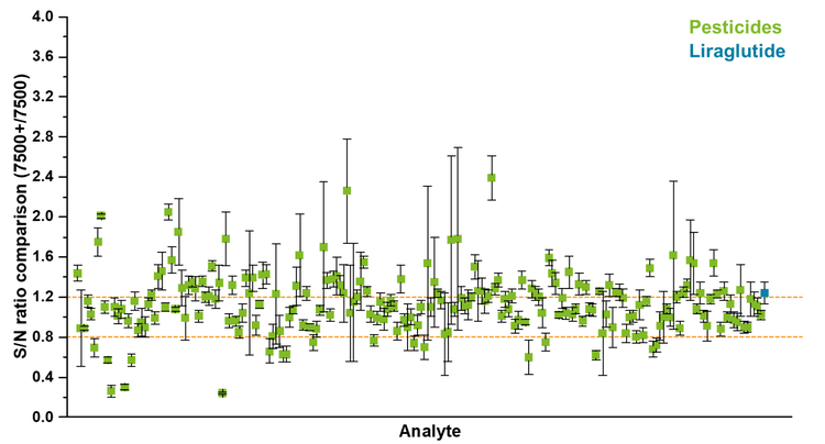
In this technical note, comparative studies were performed to evaluate the sensitivity performance of the SCIEX 7500+ system and the SCIEX 7500 system for the quantitation of low-level analytes in complex matrices. Complex matrices are known for their contributions to matrix effects from co-extractables. Furthermore, these matrices are known to contribute to instrument contamination. The SCIEX 7500+ system with Mass Guard technology1,2was designed to address instrument robustness while maintaining the sensitivity of the SCIEX 7500 system. Quantitative methods for analyzing >200 compounds in complex matrices demonstrated method transferability and equivalent sensitivity from the SCIEX 7500 system to the more robust SCIEX 7500+ system (Figure 1).

Figure 1: Comparison of signal-to-noise (S/N) ratios for >200 compounds between the SCIEX 7500+ system and SCIEX 7500 system. Each data point represents the average S/N and its associated standard error calculated from triplicate injections of a 500 ng/L standard of pesticides in solvent (green) or liraglutide in rat plasma (blue). The orange dotted lines highlight the compounds with S/N within ±20% between both systems.
#efefef
image-top
key

Key benefits of quantitative workflows on the SCIEX 7500+ system

  • Easy method transfer with equivalent sensitivity:  Comparable limits of quantitation (LOQ) values were achieved for >200 compounds on the SCIEX 7500+ system and SCIEX 7500 system
  • Exceptional robustness from Mass Guard technology:  Improved hardware yielded >2x improved robustness on the SCIEX 7500+ system over the SCIEX 7500 system
  • User accessibility to the DJet+ assembly:  Self-directed front-end cleaning to maintain system performance
  • Built-in contamination checks in SCIEX OS software: Easy monitoring of instrument performance for troubleshooting
introduction

Introduction

The development of LC-MS/MS assays requires sensitive and robust mass spectrometers for trace quantitation in complex matrices. High-throughput analysis can be challenging due to the diverse chemistry of the target analytes and the presence of co-extractable interferences in these matrices. As a result, instrument robustness is crucial to prolonging optimal sensitivity performance without substantial downtime.

Mass Guard technology1,2 was introduced on the SCIEX 7500+ system to minimize downstream contamination of the ion optics, maintaining instrument robustness over greater periods than the benchmark triple quadrupole mass spectrometers. This includes the addition of the T Bar electrodes to the Q0 region, which actively filters out contaminating ions to create a cleaner ion beam (Figure 2). Visual examination of the downstream ion optics reveals fewer contamination deposits on the IQ1 lens of the SCIEX 7500+ system compared to the SCIEX 7500 system. The significant reduction of matrix contamination on the SCIEX 7500+ system resulted in >2x improved robustness over the SCIEX 7500 system, as demonstrated by >6,400 and >10,000 injections of food1 and rat plasma2 matrices, respectively. In addition, the SCIEX 7500+ system features improved user access to the front-end DJet+ assembly to facilitate instrument cleaning.1,2

Figure 2: Hardware components of Mass Guard technology. The added T Bar electrodes in the Q0 region of the SCIEX 7500+ system actively remove contaminating ions (purple symbols), resulting in a much cleaner sample plume (red and green symbols) entering the instrument. Visual comparison of the ion optics downstream of the T Bar electrodes showed less impact from matrix contamination despite significant residue deposited on the source curtain plate (top left), when compared against the same component on the SCIEX 7500 system without this protection, as shown on the bottom right.
#efefef
image-top
Established quantitative workflows on the legacy SCIEX 7500 system can be seamlessly transferred to the SCIEX 7500+ system to capitalize on the increased robustness while maintaining system sensitivity. This technical note reviews the equivalent sensitivity of the SCIEX 7500+ system and SCIEX 7500 system demonstrated by the quantitation of >200 pesticides in orange juice3 and the commercially available glucagon-like peptide-1 (GLP-1), liraglutide, in rat plasma4. Both systems achieved similar performance in accuracy and precision at the same lower limit of quantitation (LLOQ).
methods

Methods

Details on the samples and reagents used, sample preparation procedures, chromatographic and mass spectrometry conditions and data processing parameters are described elsewhere.3,4

In principle, sensitivity was evaluated using 2 independent assays. The first method focused on the measurement of pesticides in orange juice while the second method quantified liraglutide in rat plasma. For the first method, the same spiked orange juice extracts and LC were used to compare the sensitivity of pesticides on the SCIEX 7500+ system and SCIEX 7500 system. A similar approach was performed for the second method with liraglutide in rat plasma. A converter tool in the SCIEX OS software facilitated a seamless transfer of the method parameters to ensure that the same acquisition methods were used on both systems (Figure 3).

Figure 3: Method conversion in SCIEX OS software. Method conversion between different LC-MS/MS systems is enabled for all instrument models supported by the software.
#efefef
image-top

Quantitative performance comparison between the SCIEX 7500+ system and 7500 system

Different quantitative workflows were developed for measuring pesticides in orange juice3 and liraglutide in rat plasma.4

A panel of >200 pesticides was quantified using a solvent-based calibration curve that spanned at least 3 orders of magnitude with  r2  >0.995 for most analytes on both instruments. The LLOQ values for the large pesticide cohort ranged from low to high ng/L with very similar distributions between the SCIEX 7500+ system and SCIEX 7500 system.3 On both systems, >90% of the pesticides had LLOQ values below the typical maximum residue limit (MRL) value of 10 µg/kg specified for most pesticides in the raw orange commodity.

A closer examination of the quantitative performance of both systems is demonstrated for a representative fungicide, cymoxanil (Figure 4). The statistics panes created in SCIEX OS software list the mean concentration, standard deviation, precision (%CV), and average accuracy (%) derived from triplicate injections of the solvent-based calibration curve on the two systems. The linear performance based on the  r2  value and the linear dynamic range (LDR) acquired on each system is presented on the right of the statistics panel. For cymoxanil, both systems achieved an accuracy range of 91 – 115% and precision of <15% CV, with an  r2  value of 0.998. In general, acceptable accuracies within ±30% and %CV <25% were achieved at the LLOQs for most pesticides, while accuracies within ±20% and %CV <15% were typically achieved.

Liraglutide was quantified in rat plasma using semaglutide as an internal standard. An LLOQ of 0.05 ng/mL for liraglutide in rat plasma was achieved using both systems. The calibration curve spanned across 4 orders of magnitude with  r2  >0.996 for liraglutide on both instruments (Figure 4).4 Bioanalytical acceptance criteria require accuracies of 80 – 120% and %CV <20% at the LLOQ and accuracies of 85 – 115% and %CV <15% at higher concentrations. The assay accuracy was within ±9% of the nominal concentration with a %CV <5% for liraglutide in rat plasma on both systems. As such, both instruments demonstrate quantitative performance that can meet the bioanalytical guideline requisites at the LLOQ and higher concentration levels.

Figure 4: Comparison of the quantitative performance of cymoxanil (top) and liraglutide (bottom) between the SCIEX 7500+ system and SCIEX 7500 system. Mean accuracy and precision (%CV) were calculated from triplicate injections of each concentration across the calibration curve, as shown by the statistics panes in the Analytics module of SCIEX OS software.
#efefef
image-top

Sensitivity comparison between the SCIEX 7500+ system and SCIEX 7500 system

Instrument equivalency is demonstrated by normalized S/N ratios calculated as the quotient of the S/N values obtained on the SCIEX 7500+ system and SCIEX 7500 system. A value of 1.0 corresponds to equal S/N values for each instrument.  Figure 1  shows the distribution of normalized S/N ratios for >200 compounds in complex matrices. Each analyte was measured in triplicate on both instruments and the S/N was calculated using the peak-to-peak algorithm in the SCIEX OS software. Most of the analytes had S/N ratios within 20% of one another, as indicated by the green lines that denote the mean ±20%. The similar S/N ratios observed here for all target analytes tested demonstrate equivalent sensitivity between the SCIEX 7500+ system and SCIEX 7500 system.

Figure 5  shows representative extracted ion chromatograms (XICs) of an example insecticide, 3-hydroxycarbofuran (50 ng/L in orange juice) and liraglutide (0.1 ng/mL in rat plasma), with similar S/N ratios between the 2 systems.

All target pesticides, including 3-hydroxy carbofuran in  Figure 5, exhibited S/N values >10 at their corresponding instrumental LOQs in solvent standards and orange juice spikes. The sensitivity of both instruments enabled a rapid dilution approach for sample preparation and 1 µL injections, which helped minimize matrix effects and simplify quantitation via solvent-based calibration.3

Figure 5: Representative XICs of 3-hydroxycarbofuran (50 ng/L in orange juice) and liraglutide (0.1 ng/mL in rat plasma) acquired using the SCIEX 7500+ system (top) and SCIEX 7500 system (bottom). S/N was measured using peak-to-peak calculations to assess system sensitivity. Similar S/N was observed for the example analytes in 2 different matrices, highlighting the quantitative sensitivity between the 2 systems.
#efefef
image-top

For liraglutide at 0.1 ng/mL in rat plasma, a S/N of 9 was achieved on both instruments (similar S/N values were also observed at 5 ng/mL and 500 ng/mL; data not shown4). Therefore, equivalent quantitative sensitivity was demonstrated on the SCIEX 7500+ system compared to the previous generation SCIEX 7500 system.

Enhanced software tools for system performance tracking

System suitability tests (SSTs) based on QC samples are critical to ensuring data accuracy and reproducibility in long-term assays. Intermittent infusion-based checks can also provide real-time insights regarding the instrument's performance between acquisition batches. The SCIEX OS software provides a built-in automated workflow that enables the user to monitor the detector performance and system charging with minimal manual intervention (Figure 6). The contamination check procedure enables system tests to be run in both positive and negative polarities using the MS single tuning solution.

Figure 6: Built-in contamination check procedures in SCIEX OS software for easy troubleshooting.  The MS Tune module in SCIEX OS software provides an automated contamination check procedure that allows the user to troubleshoot and monitor instrument performance during sensitivity loss. At the end of the procedure, the software generates a summary report of the instrument health based on the tests ran.
#efefef
image-top
These system tests include verification of the detector voltage, MRM performance and Q1 and MRM charging tests. System reports are then generated and can be easily compared against previous contamination check results using the SCIEX OS software. Any suboptimal performance, as indicated by the SSTs and these contamination tests, would trigger the need for instrument maintenance. The removable DJet+ assembly on the SCIEX 7500+ system also improves front-end serviceability by empowering the user with more control over scheduling maintenance and system uptime.
conclusion

Conclusion

  • Established quantitative workflows were seamlessly transferred using the method converter tool in the SCIEX OS software from the legacy SCIEX 7500 system to the more robust SCIEX 7500+ system
  • Comparable quantitative performance was demonstrated with accurate and highly reproducible results for liraglutide in rat plasma and a panel of >200 pesticides in orange juice on the SCIEX 7500+ system and SCIEX 7500 system
  • Equivalent LOQ values were achieved for the quantitation of 90% of the pesticides measured on the SCIEX 7500+ system as compared to the SCIEX 7500 system
  • The combination of SCIEX OS software enhancements for system performance tracking and the extractable DJet+ assembly offers increased flexibility for user-initiated management of system maintenance and uptime
  • Mass Guard technology actively removed contaminating ions in the sample matrix, leading to >2x improvement in robustness on the SCIEX 7500+ system compared to the SCIEX 7500 system based on the assays and matrices evaluated
references

References

  1. Lee, H; Moore, I; Butt, C.M; Jones, E.J. Achieving exceptional robustness for PFAS analysis in food with the next-generation SCIEX 7500+ system. SCIEX technical note, MKT-31304-A.
  2. Selen, E; Baghla, R; Moore; I; Galermo, E; Zhang, Z; Jones, E.J. Redefine bioanalysis with enhanced robustness on the SCIEX 7500+ system. SCIEX technical note, MKT31350-A.
  3. Lee, H; Deng, M; Baker, P.S; Butt, C.M. Direct injection analysis of pesticides in fruit juices on a next-generation, highly robust triple quadrupole mass spectrometer. SCIEX technical note, MKT-30943-A.
  4. Selen, E; Baghla, R; Galermo, E. Quantitative performance of a next-generation, highly robust triple quadrupole mass spectrometer. SCIEX technical note, MKT-30856-A.