buttonwithtext
Higher throughput lipid identification using the ZenoTOF 7600 systemJason Causon1, Thusitha Rupasinghe2, Mackenzie Pearson3 and Christie Hunter3
1
SCIEX, Canada, 2SCIEX, Australia,3SCIEX, USA
Download PDF
/content/dam/SCIEX/tech-notes/life-science-research/lipidomics/ruo-mkt-02-14617-a/Fast-LC-Lipidomics_7600_MSDial_RUO-MKT-02-14617-A.pdf
_blank
Abstract
abstract
Introduction
introduction
Methods
methods
Impact of gradient length
impact
Zeno trap performance
zeno
Analytical reproducibility
analytical
Structural identification using EAD
structural
Conclusions
conclusions
References
references
abstract

Abstract

Lipidomics using high-resolution mass spectrometry (HRMS) is challenging due to the lack of the number of fragments to identify the lipid species, especially when combined with higher throughput chromatography. Previous work demonstrated the complete structural characterization of lipids using electron activated dissociation (EAD) MS/MS on the ZenoTOF 7600 system. Here, data was generated using the higher sensitivity Zeno MS/MS and EAD fragmentation to compare with collision induced dissociation (CID). All data was processed with MS DIAL software.

introduction

Introduction

Lipidomics using high-resolution mass spectrometry (HRMS) is extremely challenging due to the few fragments available to identify the lipid species. Higher throughput methodologies typically result in a significant loss of annotated species, as either the chromatographic resolution is reduced and/or the MS/MS acquisition rate of the mass spectrometer is insufficient for the increased elution concurrency. In addition, the strategy for determining in-depth structural information can involve multiple injections and methodologies.

A hybrid collision cell is at the heart of the technological advancements of the ZenoTOF 7600 system. The Zeno trap mitigates duty cycle losses in the orthogonal injection region of the QTOF and provides MS/MS sensitivity gains of 4-20x.1 The cell also can perform both collision-induced dissociation (CID) and electron-activated dissociation (EAD) experiments for flexibility in high-resolution MS/MS modes. Electron kinetic energies can be precisely tuned from 0-25 eV without chemical transfer reagents. This tunability means EAD can be performed on many analytes, ranging from multiply charged peptides to singly charged small molecules.2 The ability of the EAD cell to contain a high density of electrons allows for rapid reaction rates that keep up with fast chromatographic separations.

Previous work demonstrated the complete structural characterization of lipids using EAD MS/MS on the ZenoTOF 7600 system.3 Here, the impact of the higher sensitivity Zeno MS/MS on the detection of lipids from extracted plasma samples was explored using a single injection, data-dependent acquisition (DDA) workflow. Chromatographic separations were significantly accelerated and the impact on identification rates was evaluated. The data were generated using Zeno MS/MS combined with EAD fragmentation to compare to the CID data and preliminary results are shared.

Key features of the ZenoTOF 7600 system for high-throughput, untargeted lipidomics

  • The Zeno trap provides MS/MS sensitivity improvements from 4-20x, which enable faster MS/MS acquisition rates and faster chromatographic runtimes
  • LC-MS runtimes were halved with minimal loss in lipid detections
  • EAD fragmentation on the ZenoTOF 7600 system is tunable and performed without additional reagents, therefore providing alternative fragmentation for lipid analysis3
  • Richer fragmentation and better detection of low-abundant fragments was observed which improved identification and enhanced structural elucidation
  • Lipid detections were significantly increased when the Zeno trap was activated
Figure 1. MS-DIAL data processing workflow user interface. The MS-DIAL main navigation page provides alignment and identification results. After double-clicking to select the peak spot, the MS/MS spectrum (shown in blue) is displayed with the reference spectrum.
#efefef
image-top
methods

Methods

Sample preparation: NIST 1950 human plasma and Sprague Dawley and Zucker rat plasmas were used. To volumes of plasma ranging from 1 to 20 µL, 100 µL of ice-cold chloroform was added and vortexed for 10 seconds. After a 1-hour incubation on ice, 200 µL of ice-cold methanol containing internal standards was added (5 µL EquiSPLASH, Avanti lipids) and vortexed for 10 seconds. After 2 hours of incubation on ice, the solvent tube was centrifuged at 2000 xg for 10 minutes at 4°C. Then, 100 µL of the supernatant was transferred for analysis.

Chromatography: LC separation was performed on a Phenomenex Luna Omega Polar C18, 100 x 2.1 mm column. The gradient separation used is described in Table 1. The flow rate was maintained at 0.4 mL/min for all the gradients used in the study. A 3 µL injection volume was used, unless otherwise specified.

Mass spectrometry: The samples were analyzed in data-dependent mode using Zeno CID DDA and Zeno EAD DDA on the ZenoTOF 7600 system. Settings for the major parameters are shown in Table 2.

Data processing: All data were processed through MS-DIAL, version 4.8 (Figure 1) using the following parameters: mass range begin, 70 Da; mass range end, 1750 Da; MS1 tolerance, 0.01 Da; MS2 tolerance, 0.025 Da; maximum charge number, 2; smoothing method, linear weighted moving average; smoothing level, 3; minimum peak width, 0.1 Da, sigma window value, 0.5; MS/MS abundance cut off, 50; exclude after precursor ion, true; keep isotope until, 0.5 Da.

Lipid structures and MS/MS annotations were achieved with 3 levels of confirmation: reference-matched, suggested and unknown. For reference-matched lipid annotation, peaks were matched with reference libraries of MS/MS spectra curated from authenticated lipid standards. Suggested lipids were annotated without MS/MS spectra. The unknown features were unable to be identified using available libraries.

Table 1. LC gradient.
#efefef
image-bottom
Table 2.  Source settings used on the ZenoTOF 7600 system.
#efefef
image-bottom
impact

Impact of gradient length

First, the impact of different gradient lengths on the number of putatively identified lipid species in a 20 µL sample of extracted plasma was investigated. LC gradients with runtimes of 25, 19, 15.5, 12.5 and 10.5 minutes were tested (Table 1 shows the 25 minute example). Based on the 25-minute runtime, the 4 shortened gradients had the same starting mobile phase composition and maintained a gradient that was proportional to the total runtime. The Zeno CID DDA analysis in positive ion mode indicated that less than 3% of annotations were lost when the gradient was shortened from 25 minutes to 12.5 minutes. Further, only 12% of annotations were lost when the gradient was shortened to 10.5 minutes (Table 3). In negative ion mode, the annotations improved by up to 13% with a faster gradient of 12.5 minutes (Table 4).

With this test, the optimal gradient for positive ion mode analysis was 15.5 minutes, when comparing lipids that were reference-matched. For negative mode, the best LC gradient had a 12.5-minute runtime. Note the DDA criteria and MS/MS accumulation times were not optimized for each gradient length.

Table 3. The number of lipid species putatively identified in positive ion mode using CID DDA with the Zeno trap enabled.
#efefef
image-bottom
Table 4. The number of lipid species putatively identified in negative ion mode using CID DDA with the Zeno trap enabled.
#efefef
image-bottom
zeno

Zeno trap performance

Next, the Zeno trap performance was evaluated using various plasma loads in both positive and negative ion mode lipid analyses by toggling the Zeno trap on and off. A 25-minute gradient was used for both positive and negative ion modes. The Zeno trap significantly increased the MS/MS sensitivity, providing much better detection of lower-level fragment ions in the spectra.

The putative identifications of lipids in plasma samples are shown in Tables 5 and 6 for positive and negative modes, respectively.

When the Zeno trap was enabled in this analysis, there was a significant increase in putative identifications in both positive and negative ion modes. In positive ion mode, when the Zeno trap was turned on, 30% more annotations were achieved than when the Zeno trap was turned off. In negative ion mode, a 92% gain in annotations was obtained. When 10 µL of plasma was loaded for analysis in negative ion mode, a 140% increase in annotations was achieved. Overall, the use of the Zeno trap in positive ion mode resulted in an average 33% increase in annotations, while its use in negative ion mode resulted in an average gain of 113%.

Table 5. The number of lipid species putatively identified in positive ion mode using a 25-minute gradient.
#efefef
image-bottom
Table 6.  The number of lipid species putatively identified in negative ion mode using a 25-minute gradient.
#efefef
image-bottom
analytical

Analytical reproducibility

Next, the analytical reproducibility was established across the lowest 3 lowest plasma loads tested: 2, 3 and 5 µL. Each plasma volume was extracted in duplicate and injected with triplicate technical replicates. Reproducibility of the methodology was evaluated using a 25-minute gradient in positive ion mode with the Zeno trap on. More than 500 lipids were annotated for a 20 µL injection of the NIST 1950 human plasma. From these annotations, a subset of high-, mid- and low-abundant lipid species were selected for precision assessment. These included PC 34:2, SM 32:1;2O, LPE 20:4, Hex2Cer 34:1;2O and Cer 42:1;2O, with abundances ranging from 1.4e3 to 1.5e6 cps (Table 7).

The raw peak areas of these species were analyzed without internal standard normalization (Table 7). Across 4 plasma volumes of the high-abundant PC 34:2, the %CV was less than 2% for 6 injections, as expected. Maintaining low %CV values for low-abundant species is often challenging. For the 3 lowest abundant species, LPE 20:4, Hex2Cer 34:1;2O and Cer 42:1;2O, the %CV of peak area across all plasma volumes was less than 6%.

At the lowest extracted plasma volume, the %CV values were slightly greater than 5% for the low-abundant species with average areas of approximately 1.3e3 cps (data not shown). With a 5 µL extraction plasma volume, the %CV value for each lipid species was 1.37% or less (Table 7).

Table 7. Raw peak area precision at low plasma loads on the ZenoTOF 7600 system using 25-minute gradient in positive ion mode.
#efefef
image-bottom
structural

Structural identification using EAD

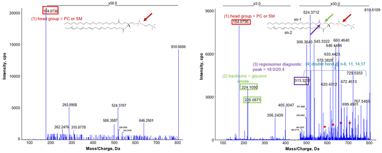
Finally, using the optimized gradient conditions from the previous experiments, data acquisition was repeated on the plasma samples using the Zeno EAD IDA workflow. Global analysis of these datafiles is still underway to characterize the impact of using CID vs. EAD fragmentation for untargeted lipidomics. A preliminary manual exploration of the EAD data from selected lipids was done and was found to have much richer MS/MS information compared CID spectra. Figure 2 shows a comparison of the CID and EAD spectra of the PC 38:4 species, analyzed in positive ion mode. Whereas the information gathered from the CID spectrum was able to narrow the identification of the lipid species (PC or SM), the information collected from the EAD spectrum was used to confidently identify the specific lipid species. The EAD spectrum (Figure 2, right) contained the fragment ions m/z 224.10 and 226.08 which confirm the PC species. Other ions in the spectrum enabled determination of the sn-position to determine the 18:0/20:4 structure and identify double bonds at 8Z, 11Z, 14Z and 17Z.

Figure 2. MS spectra for the PC 38:4 species using either EAD (right) or CID (left) fragmentation modes. Complete structural identification of PC 18:0/20:4(8,11,14,17) was possible using EAD spectra collected with Zeno DDA.
#efefef
image-top
conclusions

Conclusions

  • The ZenoTOF 7600 system is a highly sensitive, accurate mass QTOF platform that is well-suited for routine, early-stage discovery lipidomics
  • Increased MS/MS sensitivity with Zeno trap activation significantly improved lipid detection and enabled a significant acceleration in method runtimes
  • Zeno IDA with EAD provides an additional workflow that can be used when higher quality fragmentation data are needed for complete structural identification of the lipid moiety.
references

References

  1. Qualitative flexibility combined with quantitative power. SCIEX technical note, RUO-MKT-02-13053-A.
  2. Electron activated dissociation - A new paradigm for mass spectrometry. SCIEX white paper, RUO-MKT-19-13372-A.
  3. Complete structural elucidation of lipids in a single experiment using Electron-Activated Dissociation (EAD). SCIEX technical note, RUO-MKT-02-13050-A.
  4. Tsugawa H et al. (2020) A lipidome atlas in MS-DIAL 4. Nature Biotechnology, 38, 1159–1163.