Introduction
Introduction
Key learning points
Key learning points
Materials
Materials
Discussion
Discussion
Conclusions
conclusions
References
references
abstract
Introduction

Introduction

This technical note shows the side-by-side comparison between the CE-SDS IgG high resolution (HR) separation method on the PA 800 Plus system and the CE-SDS method on the BioPhase 8800 system for reduced and non-reduced monoclonal antibody (mAb) samples. Sample preparation protocols and electropherograms using UV, laser-induced fluorescence (LIF) and native fluorescence (NF) detection are compared.

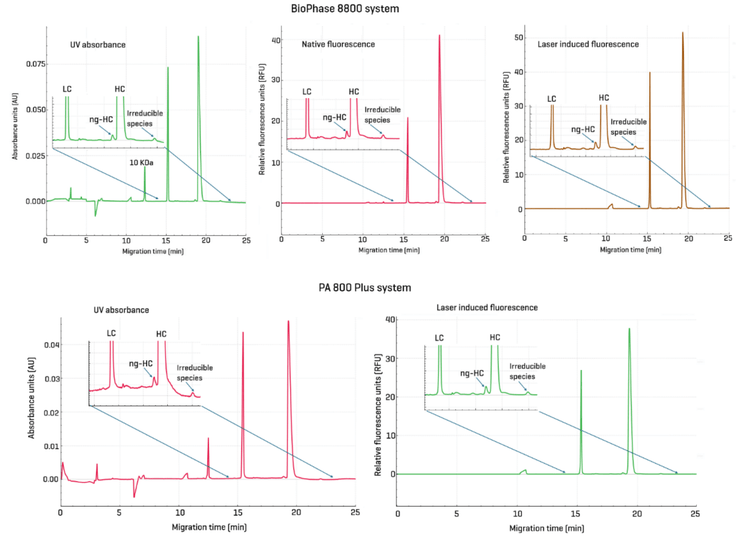
Figure 1 CE-SDS separation profiles of reduced infliximab using the BioPhase 8800 system using 3 detection modes: UV (left), NF (center) and LIF (right). Methods and detector conditions are in the materials section. Legend: LC: light chain; ng-HC: non-glycosylated heavy chain; HC: heavy chain.
image-top
introduction
Key learning points

Key learning points

  • The CE-SDS separation method on the BioPhase 8800 system is equivalent to the IgG HR separation on the PA 800 Plus system. Same reagents and capillary chemistry enable equivalent performance and facilitate method transfer between systems.
  • Both methods are compatible with all detection types available on the systems, allowing for an intuitive setup and flexibility to meet different sensitivity needs.
  • NF and LIF detection enable smoother baselines, facilitating integration and accurate quantitation of low-abundance analyte peaks. NF has the additional benefit of no sample labeling compared to LIF.
methods
Materials

Materials

The BioPhase CE-SDS Protein Analysis Kit (P/N: C30085), the BioPhase BFS capillary cartridge - 8 x 30 cm (P/N 5080121), BioPhase sample and reagent plates (4,4,8) (P/N 5080311), NISTmAb (P/N 5089359) and the pre-assembled bare-fused silica capillary cartridge (P/N A55625) were from SCIEX (Marlborough, MA). The β-mercaptoethanol (β-ME) (P/N: M3148-25ML), Iodoacetamide (IAM) (P/N A3221) and Chromeo P503 dye (P/N 30693) were obtained from Sigma-Millipore. Infliximab was purchased from Myonex (Horsham, PA).

Sample preparation for UV or NF detection:

Take 10 µL of a 10 mg/mL NISTmAb or infliximab and mix with 90 µL of sample buffer, add 2 μL of the 10 kDa Internal Standard and 5 μL of β-ME for reduced condition or 5 μL of 250 mM of iodoacetamide (IAM) for non-reduced condition. The mixture was incubated at 70o C for 10 minutes.

Sample preparation for LIF detection:

Chromeo P503 dye stock solution preparation:

Add 200 µl reagent grade methanol to lyophilized Chromeo P503 (1 mg) to make a 5 mg/ml stock solution. Make 10 µL aliquot and store at -20o C.

Chromeo P503 dye working solution preparation:

Take one 5 mg/mL aliquot from the freezer and dilute in water to make a 1 mg/mL solution and keep in the dark until use.

Preparation of reduced mAb:

Take 10 µL of a 10 mg/mL NISTmAb or infliximab and mix with 90 µL of sample buffer and 5 µL of β-ME. Incubate at 70o C for 10 minutes. To the reduced sample add 2 µL of Chromeo P503 dye working solution and incubate for 10 min at 70o C. Take 10 µL of the reduced sample and add 45 µL of ddi water and incubate in the dark for 5 minutes to stop the reaction. Finally, add 45 µL of sample buffer prior to CE separation.

Capillary electrophoresis instruments: The PA 800 Plus system (P/N A66528) equipped with a photodiode array detector and LIF detector was from SCIEX (Marlborough, MA). The data acquisition was performed using 32 Karat software v. 10, and analysis was performed using the BioPhase 8800 system software V1.5. The BioPhase 8800 system (P/N: 5314860) equipped with UV, LIF and NF was from SCIEX (Marlborough, MA). The BioPhase 8800 system and the BioPhase 8800 software, version 1.5 e-license, were used to create methods and sequences for data acquisition and analysis.

Instrument methods: CE-SDS separation for the BioPhase 8800 system and the IgG HR separation method for the PA 800 Plus system were used, as described in the respective application guide, which can be downloaded at SCIEX.com/support.

results
Discussion

Discussion

Instrument methods and conditions used in UV, NF, and LIF detection modes

The CE-SDS methodology involves heat denaturing of a specified concentration of protein in the presence of SDS. After denaturation, the sample components are separated by size into a capillary containing a replaceable SDS-polymer matrix. The matrix provides the sieving selectivity for the separation, with a focus on high-resolution or baseline separation between the non-glycosylated heavy chain (ng-HC) and the glycosylated heavy chain (HC).

This separation is routinely performed using the PA 800 Plus system, a single capillary platform capable of separating 24 samples in approximately 18 hours of uninterrupted operation.

The BioPhase 8800 system, a multi-capillary platform, can deliver the analysis of a 96-well plate in a similar time frame, significantly increasing the throughput.

Both systems are equipped with UV absorbance and LIF detection capabilities, whereas NF is only available on the BioPhase 8800 system. The separation methods on the BioPhase 8800 system and the PA 800 Plus system are very similar and share the exact same chemistry and sample preparation protocols.

Table 1 summarizes the key parameters for high-resolution IgG separations, which also apply to other antibody modalities such as ADCs, bi-/tri-specifics, nanobodies, and AOCs. The PA 800 Plus system and BioPhase 8800 system use identical separation voltage, injection settings, and UV/LIF wavelengths. NF detection is the only differentiating feature, available exclusively on the BioPhase 8800 system. Table 2 displays the sample preparation conditions, which are identical for both systems.

Table 1. Critical separation parameters comparison between PA 800 Plus system and BioPhase 8800 system.
#efefef
image-bottom
Table 2. Sample preparation for CE-SDS separation.
#efefef
image-bottom

Separation profile comparability of reduced infliximab and non-reduced NISTmAb using UV, NF, and LIF detection modes.

Figure 2 and 3 showcase typical CE-SDS of reduced infliximab and non-reduced NISTmAb profiles. While the separation profiles show great comparability, upon close inspection, the insets show how the baseline changes with each detection mode. From the 3 detection modes on the BioPhase 8800 system, the LIF and NF consistently showed a lower baseline root mean square (RMS) noise of 0.02, while UV has an RMS noise of 6.99. The smoother baseline enables more reliable integration for the quantitation of low abundant species.

Table 3 demonstrates that the corrected peak area (CPA) percentages for the key analytes—light chain (LC), non-glycosylated heavy chain (ng-HC), and heavy chain (HC)— are highly consistent between the two platforms when analyzed using UV detection. Comparable agreement is also observed for CPA% values obtained using LIF detection. The observed differences across detection modalities arise from the fundamental physicochemical principles governing each technique.

Figure 2. Top panel: CE-SDS separation profiles of reduced infliximab using the BioPhase 8800 system using 3 detection modes: UV (left), NF (center) and LIF (right). Bottom panel: CE-SDS separation profiles of non-reduced NISTmAb using the PA 800 Plus system. Methods and detector conditions are in the materials section. Legend: LC: light chain; ng-HC: non-glycosylated heavy chain; HC: heavy chain.
#efefef
image-top
Table 3: HC/LC and CPA% for reduced infliximab using the IgG HR method (PA 800 Plus system) and the equivalent method on the BioPhase 8800 system. *Corrected peak area percentage
#efefef
image-bottom
Figure 3. Top panel: CE-SDS separation profiles of non-reduced NISTmAb using the BioPhase 8800 system, using 3 detection modes, UV (left), NF (center) and LIF (right). Bottom panel: CE-SDS separation profiles of non-reduced NISTmAb using the PA 800 Plus system. Methods and detector conditions are in the materials section. Legend: LC: light chain; ng-HC: non-glycosylated heavy chain; HC: heavy chain, HL: heavy-light chain, HH: heavy-heavy chain, HHL: heavy-heavy-light chain.
#efefef
image-top

UV absorbance at 220 nm primarily reflects the strong absorbance of peptide bonds, which are common to all protein species. In contrast, LIF signal intensity is influenced by the fluorescent dye’s quantum yield and the availability of accessible primary amines (Lysine - Lys) for labeling, which can vary among protein fragments. NF detection is driven largely by the intrinsic fluorescence of aromatic amino acids, particularly tryptophan (Trp).

In summary, regardless of the detection mode used, the species found using the popular UV detection was also found in LIF and NF detection modes.

Signal normalization to correlate detector response

A strategy to normalize the HC/LC ratio differences is to normalize the corrected peak area obtained from each detection mode by the relevant number of Trp for NF, Lys for LIF, and number of amino acids (aa) for UV detection.3

Table 4: Number of Trp, Lys, and aa in infliximab
#efefef
image-bottom
Table 5 summarizes the HC/LC ratios before and after detector-specific normalization. Because the expected molar HC-to-LC ratio is 1:1, normalized values should ideally approach one. After normalization, the ratios converge toward this value; however, slight deviations remain—approximately 1.1 for UV and NF and 1.0–1.2 for LIF—reflecting inherent differences in detection mechanisms rather than true compositional variation.
Table 5: HC/LC ratios comparison between UV, NF, and LIF detection modes before and after normalization
#efefef
image-bottom

Purity analysis

The %Purity values show strong agreement between the two CE platforms. On the PA 800 Plus system, purity measured by UV detection (n=6) was 97.57%, while LIF detection (n=6) produced a slightly lower value of 95.45. On the BioPhase 8800 system, UV detection (n=6) yielded a comparable purity of 97.60%, with LIF (n=3) at 95.70% and NF detection (n=6) at 96.70%. The NIST reported purity is 97.87%. As expected, the monomer purity decreases slightly due to the higher sensitivity of the LIF and NF detection schemes.

NF detection mode enables better sensitivity and peak integration

Figure 4 compares the UV (bottom) and NF (top) baselines for the non-reduced NISTmAb separation from 18-35 minutes, where low-abundance fragments typically appear. The high molecular weight (HMW) species migrating at ~ 33 minutes is clearly resolved with a flat baseline in NF detection, compared to baseline waviness in UV detection, making accurate integration difficult.

Figure 4. CE-SDS separation of NISTmAb under non reducing conditions. Top panel: UV detection; Bottom panel: NF detection
#efefef
image-top
conclusions

Conclusions

  • Overall, both platforms deliver equivalent CE-SDS performance, enabling interchangeable use for analytical characterization workflows

  • All three detection modes—UV, NF, and LIF—produce consistent electropherogram patterns across platforms, confirming cross-platform method equivalency

    • Strong alignment in HC/LC ratios and CPA%, across detection modes and CE platforms
    • The monomer purity is also highly comparable, with minor differences arising from detection sensitivity rather than separation differences. Results that corroborate NIST’s finding.
  • The increased sensitivity of NF and baseline stability without time consuming sample labeling enables the detection and reliable integration of low abundance species
references

References

  1. Z. Yang, M. Santos, T. Li, M. Pulido, J. Luo and S. Mollah; Lightning capillary electrophoresis sodium dodecyl sulfate (CE-SDS) workflow for high-throughput analysis of biotherapeutics, RUO-MKT-02-14803-A.
  2. A. Turner, K. Yandrofski, S. Telikepalli, J. King, A. Heckert, J. Filliben, D. Ripple and J. E. Schiel; Development of orthogonal NISTmAb size heterogeneity control methods; Analytical and Bioanalytical Chemistry, 410(2018)2095–2110.
  3. T. Li and S. Mollah, Enhanced AAV capsid protein analysis using CE-SDS with Native Fluorescence (NF) detection on the BioPhase 8800 System, 2025, MKT-36129-A