Quantitation of mycotoxins and tropane alkaloids in food using SCIEX 7500+ system and QTRAP technology
buttonwithtext
Aurélien Desmarchelier1, Thomas Bessaire1, Marie-Claude Savoy1, Adrienne Tarres1, Claudia Mujahid1, Andrea Beck1, Thierry Delatour1, Wai-Chinn Chan2, Xun Fu3, Michael Scherer4, Jianru Stahl-Zeng5
1
Société des Produits Nestlé, Switzerland ;2Nestlé Quality Assurance Center, Singapore ; 3Nestlé Quality Assurance Center, US ; 4SCIEX, Switzerland ; 5SCIEX, Germany
Download PDF
/content/dam/SCIEX/pdf/tech-notes/food-and-beverage/food-and-beverage/vet-drug-food-nestle.pdf
_blank
Abstract
Abstract
Key benefits
Keybenefits
Introduction
Introduction
Methods
Methods
Quantitative performance
performance
Achieve EU MRL
AchieveEUMRL
MRM3 scan
MRM3scan
Conclusions
Conclusions
References
References
Abstract

Abstract

This technical note demonstrates a method for analysis of 23 mycotoxins and 2 tropane alkaloids in four food matrices achieving limits of quantitation (LOQs) 10-250 fold lower than the European Union (EU) Maximum Residue Limits (MRL), see  Figure 1. Using the SCIEX 7500+ system and QuEChERS extraction, LOQs as low as 0.01 µg/kg were shown using a standard MRM acquisition method. These LOQs surpassed the MRLs according to regulation EU 2023/9151 and EU 2024/10382 and recommendation EU 2022/5533 . In addition, MRM3 scans using the 7500+ QTRAP technology selectively removed endogenous matrix interferences for some mycotoxin compounds such as Aflatoxin B2. The enhanced selectivity of the MRM3 scans resulted in LOQ values as low as 0.0025 µg/kg

Figure 1: Extracted ion chromatograms (XICs) of four mycotoxins in a matrix blank (first row) and obtained LOQ (second row) in pre-spiked baby food.  Quantifer ion is shown in blue, first qualifier ion is shown in pink. Using the SCIEX 7500+ QTRAP system, LOQ values of 0.01 µg/kg were achieved for Aflatoxin, 0.0625 µg/kg for Aflatoxin B2, 0.2 µg/kg for HT-2 toxin and 0.03 µg/kg for Ochratoxin A. These values are 10-25 times lower than the MRL values required in regulation EC 2023/915 for these specific mycotoxins in baby food matrix.
#%23%23%23
image-top
Keybenefits

Key benefits of mycotoxin and tropane alkaloid quantitation in food using the SCIEX 7500+ system

  • High level of sensitivity:  LOQ values 10-250 times less than the lowest required EU MRL achieved for 23 mycotoxins and 2 tropane alkaloids in four food matrices on the SCIEX 7500+ system
  • Good analytical performance:  %CV <6.5% at the LOQ achieved for all compounds tested in a baby food matrix
  • Removal of low-level interferences:  QTRAP technology with MRM3 scans used to remove matrix interferences and reduce baseline noise, with MRM and MRM3 experiments in a single analytical method
Introduction

Introduction

Mycotoxins are naturally produced by fungi, many of which grow on foodstuffs such as cereals, dried fruits, nuts and spices. Several mycotoxins have gained attention due to their toxicity towards human health, with reported adverse health effects including gastrointestinal and kidney disorders, immune deficiency and cancer. Humidity and temperature are important factors in fungal growth, and it is anticipated that climate change may increase the presence of mycotoxins. Therefore, the low-level quantitation of mycotoxins in foodstuffs is a high priority for food producers.

Tropane alkaloids such as atropine and scopolamine are plant metabolites produced by numerous plant species that may grow near cereal crops. They are known to have toxicity towards human health, and they may unintentionally enter foodstuffs through contamination of harvested crops.

There are several EU regulations that control the limits of mycotoxins and other plant toxins in food. Regulations EU 2023/27824 and 2023/27835 control the methods for sampling and analysis for the control of mycotoxins and plant toxins in food. Regulations EU 2023/9151 and EU 2024/10382 and Recommendation EU 2022/5533 stipulate the MRL values for mycotoxins and certain plant toxins in different food matrices.

The MRL for certain foodstuffs, such as baby food and cereal-based food for infants and young children, apply to the dry product. This typically requires lyophilization, which can be a lengthy process, often taking 24 hours or more. If the method sensitivity is sufficient, then a simple sample preparation may be used on the non-lyophilized foodstuffs, if it meets the criteria for the equivalent weight of the dry matter content.4,5

Methods

Methods

Standards and reagents:  Standards were purchased from Sigma Alrich, Biopure and Dr Ehrenstorfer.

Sample preparation:  A simplified QuEChERS method was used for all food matrices tested. Briefly, a 5 g sample of the dried foodstuff or wine/juice was weighed into a 50 mL plastic centrifuge tube and spiked with a mixed standard. If dried foodstuff was tested, 10 mL of water was added, and the mixture was left for 10 minutes to hydrate the foodstuff sample. 10 mL of acetonitrile with 2% formic acid (v/v) was added, followed by mixing for 2 minutes. The QuEChERS sachet of magnesium sulfate and sodium chloride salt was added, and the sample was vortexed before being centrifuged for 4 minutes at 4000 rpm. 2 mL of supernatant was removed and transferred to a 15 mL plastic centrifuge tube. Magnesium sulfate and C18 powder was added, and the tube agitated before centrifugation for 10 minutes at 9500 rpm. 1 mL of the supernatant was filtered using a 0.22 µm nylon filter into an LC-MS vial for injection.

Chromatography:  Chromatographic separation (Figure 2) was performed using a SCIEX Exion AE LC system with a Phenomenex Luna Omega Polar C18 (2.1 x 100 mm, 1.6 µm, 100 Å) column. A 15-minute gradient was run at a flow rate of 0.3 mL/min using ultra-pure water with 0.02% (v/v) formic acid, 2mM ammonium formate and 0.05mM ammonium fluoride as mobile phase A, and methanol with 0.02% (v/v) formic acid, 2mM ammonium formate and 0.05mM ammonium fluoride as mobile phase B (Table 1). The column temperature was maintained at 40°C and the injection volume was 1.5 μL. A mixture of 3 : 3 : 3 : 1 (v/v/v/v) acetonitrile/methanol/water/isopropyl alcohol with 0.1% (v/v) formic acid was used as a needle wash solvent.

Table 1: Chromatographic gradient for analysis of mycotoxins in foodstuffs.
#%23%23%23
image-bottom

Mass spectrometry:  Samples were analyzed using the SCIEX 7500+ QTRAP system operated in electrospray ionization (ESI) mode with polarity switching. Data was acquired using the Scheduled MRM algorithm with at least two selective MRM transitions per analyte. Q0D optimization was performed and operated in simple mode for the analysis. MRM3 experiments used a 1000 Da/s scan rate and 25 ms excitation time, with dynamic fill time.

Data processing:  Processing was performed using SCIEX OS software (v 3.4). The peak-to-peak signal-to-noise and MQ4 integration algorithm were used

Figure 2: Extracted ion chromatogram (XIC) of all compounds overlaid. The XIC above highlights the chromatographic separation achieved in a wine matrix. All compounds eluted between 4 and 10 minutes.
#%23%23%23
image-top
performance

Quantitative performance in various food matrices

The LOQ values reported here (Table 2) were below the required EU MRL for all four matrices tested (baby food, almond, grape juice and wine), with the LOQ defined by S/N of the quantifier ion >10, as well as an ion ratio of ±20% of the average, and accuracy 80-120%. These LOQ values ranged from 0.01 to 10 µg/kg in baby food, the most challenging of the four matrices tested.

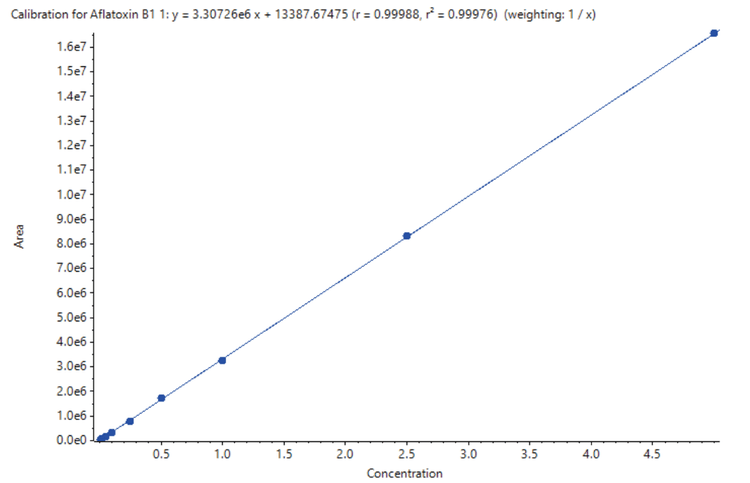
Linearity (1/x weighting, r2 > 0.99) was achieved for the calibration curves of all mycotoxins in all four matrices without the need for labeled internal standards (Figure 3  shows the calibration curve of Aflatoxin B1 in baby food) with a linear dynamic range of 2-3 orders of magnitude for most compounds in all four matrices.

Average accuracy and precision were assessed for 5 replicate injections of the extracted baby food LOQ standard and were within the acceptable validation requirements (accuracy ±20% and peak area %CV < 15%). Figure 4  shows the blank and five LOQ replicates for Aflatoxin B1 (0.01 µg/kg) in baby food.

As baby food has the lowest EU MRL requirements for most compounds,  Table 3 summarizes the precision, linearity and accuracy data for the calibration curve prepared in this matrix.

Figure 3: Calibration curve for Aflatoxin B1 in baby food.  The figure above shows a linear range of 0.01 – 5 µg/kg for Aflatoxin B1 highlighting an r2 value of 0.999
#%23%23%23
image-top
Table 2: LOQ values achieved for mycotoxins in 4 food matrices using standard MRM workflow, compared with the lowest MRL value required by Regulation EU 2023/9151, EU 2024/10382 and Recommendation EU 2022/5533
#%23%23%23
image-bottom
Figure 4: Extracted ion chromatograms (XICs) of the matrix blank and 5 replicates of the Ochratoxin A LOQ spike (0.03 µg/kg) in baby food..  Quantifier ion is shown in blue, first qualifier ion is shown in pink.
#%23%23%23
image-top
Table 3. Calibration range, LOQ in baby food (or almond where noted), peak-to-peak (p2p) S/N, peak area %CV at the LOQ (n=5) and r2 value
#%23%23%23
image-bottom
AchieveEUMRL

Achieve EU MRL without lyophilization

Using a large injection volume is one strategy to meet low MRL values such as those for the EU mycotoxins levels in food. However, large injection volumes can also lead to higher levels of matrix interference during the analysis of foodstuffs, impacting overall method sensitivity. Using the 7500+ system, a 1.5 µL injection volume was sufficient to achieve LOQ values that were 10-250 times less than the lowest required MRL for a variety of foodstuffs.  Table 4  shows the LOQ values achieved, alongside the minimum baby food EU limits.1,2,3 Due to the small injection volume, very low carry-over was observed. Further, an injection of Fumonisin B1 at the ULOQ of 100 µg/kg resulted in just 0.08% carry-over in the following blank injection.

This high-sensitivity quantitation of the regulated mycotoxins at levels below the required MRL values may allow for sample preparation that does not require a lengthy lyophilization step. This is because if the MRL applies to the dry matter content (as is the case with baby food1,2,3), and the LOQ can be shown to be sufficiently lower than the required MRL, the method can be validated on the wet-weight if shown to meet the criteria for the equivalent weight of the dry matter content. As the LOQ values achieved were 10-250 fold lower than the MRL requirements for baby food (Table 4), if the average ratio percent between dry and wet weight is <10%, a method without lyophilization is likely possible for all mycotoxins and plant toxins described in this technical note.

Table 4: LOQ value achieved for baby food compared with minimum baby food EU limits (MRL)
#%23%23%23
image-top
MRM3scan

MRM3 scan for interference removal

Certain mycotoxins such as Aflatoxin B2, Ochratoxin A and Scopolamine typically show an interference peak in matrix blank samples in baby food and certain other food matrices, even when using small injection volumes. The presence of these interference peaks results in a high LOQ value., as compared to samples with a clean background. MRM3 scans allow for greater selectivity through the fragmentation of a secondary ion into a tertiary ion. This second-generation fragment can be used for quantification, with lower LOQs typically achieved as compared to MRM (Table 5).  Figure 5  shows a comparison between the low-level quantitation of Aflatoxin B2 by MRM and MRM3 scan.

The SCIEX 7500+ system allows for ultra-fast scanning with pause times as low as 2 ms, and dwell times of 1 ms when using sMRM and polarity switching.6 This ultra-fast scanning means that very large analyte panel methods – which monitor a high number of MRMs – can possess low cycle times and sufficient data points across the chromatographic peaks. This ensures good data quality while maintaining sensitivity. Therefore, a single MRM3 experiment can be implemented with a scan time of only 60 ms so that up to two MRM3 scans can be acquired alongside the full mycotoxin screen using positive and negative MRMs without a significant increase in cycle time and preserving ultra-trace level sensitivity.

Table 5: LOQ value achieved for selected mycotoxins and plant toxins in baby food matrix using MRM3
#%23%23%23
image-bottom
Figure 5: Comparison of MRM and MRM3 scan XICs of blank and low-level standards for Aflatoxin B2 in baby food matrix.  The XICs show that the MRM scan for Aflatoxin B2 in baby food contains an interference which is seen in the blank, and results in accurate quantitation not being possible below 0.0625 µg/kg (see Table 3). The MRM3 scan is more selective, and no peak in the blank is seen, meaning that Aflatoxin B2 can be quantified as low as 0.0025 µg/kg.
#%23%23%23
image-top
Conclusions

Conclusions

  • A simplified QuEChERS sample preparation was sufficient to achieve LOQ values for all mycotoxins and tropane alkaloids tested that were 10-250 times lower than the lowest MRLs required by EU legislation1,2,3 showing that sample preparation without lyophilization steps may by possible.4,5
  • The high sensitivity of the SCIEX 7500+ system meant that only a 1.5 µL injection was required for sub-ppb sensitivity, resulting in low carry-over.
  • The method demonstrated accurate and highly reproducible quantitative performance for all compounds in a baby food, almond, grape juice and wine matrix.
  • The SCIEX 7500+ QTRAP system allowed for removal of low-level interferences using MRM3 scanning technology resulting in accurate ultra-low level quantitation.
References

References

  1. Regulation (EU) 2023/915 on maximum levels for certain contaminants in food and repealing Regulation (EC) No 1881/2006. April 2023.
  2. Regulation (EU) 2024/1038 amending Regulation (EU) 2023/915 as regards maximum levels of T-2 and HT-2 toxins in food. April 2024.
  3. Recommendation (EU) 2022/553 on monitoring the presence of Alternaria toxins in food. April 2022.
  4. Regulation (EU) 2023/2782 laying down the methods of sampling and analysis for the control of the levels of mycotoxins in food and repealing Regulation (EC) No 401/2006. December 2023.
  5. Regulation (EU) 2023/2783 laying down the methods of sampling and analysis for the control of the levels of plant toxins in food and repealing Regulation (EU) 2015/705. December 2023.
  6. Ultra-fast MRM acquisition and quantitation of food contaminants in multiple food matrices. SCIEX Technical Note MKT-31501-A.
    https://sciex.com/tech-notes/foodbeverage/food-and-beverage/ultra-fast-mrm-acquisitionand-quantitation-of-food-contaminants