Abstract
Abstract
Introduction
Introduction
Methods
Methods
Reproducibility, sensitivity, and linearity
Reproducibility-sensitivity-and-linearity
Conclusions
Conclusions
References
References
Abstract

Abstract

A fast, robust, and reliable method for the detection 14 paralytic shellfish toxins in the matrix shellfish was developed and validated. A fast purification method was used to cover all these 14 toxins. The method was validated in different shellfish matrices. Limits of Quantitation (LOQ) of all toxins were found between 1.0ng/g and 50 ng/g. All LOQ meet the requirements of regulation.

#%23%23%23
Introduction

Introduction

Paralytic Shellfish Toxins (PSTs) are a class of potent neurotoxins produced by a range of marine microalgae belonging to the genera Alexandrium, Gymnodinium and Pyrodinium. When these harmful algae are eaten by shellfish, the toxins naturally accumulate in shellfish and can pose a serious threat to the health of shellfish consumers in many parts of the world. To protect public health, the worldwide regulatory limits for PSTs in shellfish were set at 800 μg STX eq/kg (European Commission (EC) No. 853/2004).

The mouse bioassay (MBA) method has historically been utilized for the analysis of PSTs. The MBA method has the advantage of providing an integrated response of all the PSTs. However, it has poor reproducibility, low sensitivity, and there are ethical arguments against the use of live animals. In order to replace the MBA method, liquid chromatography with pre-column or post-column derivatization and fluorescent detection (LC-FLD)-based methods have been developed and used as the officially prescribed analytical approaches in the European Union for the detection of PSTs. The LC-FLD method has the advantage of providing sensitive and selective determination of the PSTs but is time consuming and laborious as PSTs must be derivatized to allow for fluorescence detection.

Regulations on food and environmental testing often require the analysis of contaminants using confirmatory techniques, such as LC-MS/MS. There is a demand for powerful and rapid analytical methods that can detect very low concentrations of paralytic shellfish toxins in a variety of sample matrices. However, PSTs are a class of water-soluble toxins and have many pairs of isomers (Figure 1). Chromatographic separation and resolution have posed a challenge in implementing reverse-phase LC-MS/MS techniques for routine PSTs analysis. A HILIC column was chosen for the separation of these polar compounds.

Moreover, shellfish contain protein, fat, minerals and other nutrients, and sample extraction produces these interferences which may affect method performance. Therefore, an effective clean-up approach was established to analyze 14 hydrophilic paralytic shellfish toxins simultaneously in a single run. This simplified sample preparation in combination with ultrahigh performance LC, and sensitive MRM detection allows detecting PSTs faster and is less labor-intensive than LC-FLD.

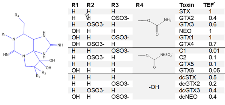
Figure 1.  Structures of principal toxins. Shown are the toxins associated with Paralytic Shellfish toxins syndrome and their Toxicity equivalency factors*.
#efefef
image-left

Key assay attributes

  • A fully integrated LC-MS/MS solution is presented to analyze 14 common paralytic shellfish toxins simultaneously in relevant shellfish samples. Polarity switching ensures best coverage of relevant analytes.
  • Simplified and high-throughput sample preparation procedure saves time and labor at the front end of analysis
  • The method was assessed for performance including sensitivity and robustness in different shellfish matrices.
  • Limits of Quantitation (LOQ) of all PSTs were found between 1ng/g and 50ng/g. All LOQ meet the regulatory requirement.
Methods

Methods

Sample preparation:  Samples (clam, scallop, mussel etc.) were first homogenized and 5.0g of sample was extracted using an acetic acid solution in water. Once sonicated and centrifuged, the supernatant was passed through a Cleanert® PEP-2 Cartridge (Agela Technologies, P/N PE0603-2). The filtrate was for LC-MS analysis.

Chromatography:  Liquid chromatography analysis was performed using a SCIEX ExionLC™ AD System. 10 μL was injected onto a TSK-GEL Amide-80 column (150mm X 2.0 mm, 3.0μm).

Mass spectrometry:  Electrospray ionization was carried out on SCIEX QTRAP 6500+ System with fast polarity switching. The IonDrive™ Turbo V Source was kept at a temperature of 450 °C.

Data processing: Data was processed using MultiQuant™ Software 3.0.2.

Table 1.  LC Gradient time program.  Flow rate at all steps was 0.4 mL/min, and the total run time was 18 minutes including re-equilibration.
#efefef
image-left
Reproducibility-sensitivity-and-linearity

Reproducibility, sensitivity, and linearity

For each analyte, two signature MRM transitions were chosen to ensure confidence in the identification of each PSTs (Table 2). Typical chromatograms of solvent standard are shown in Figures 2 and 3. The LC peak quality demonstrated by the method resulted in excellent quantitative accuracy and reproducibility. The system suitability was tested with standard concentrations of 5 and 50ng/mL, and the standard solution was injected three times to assess precision. The %RSD of each analyte peak was calculated to less than 15%. The matrix matched linearity was evaluated. To account for matrix inhibitory effects, matrix matched curves were used to quantify the unknown samples. For STX and GTX4 as example analytes, the method was found to have acceptable reproducibility and the linear regression coefficient was found to be greater than 0.99 (Figure 4).

According to the different sensitivity levels of each compound on the instrument, the limit of quantitation was evaluated and the LOQ of all targeted PSTs were between 1ng/g and 50ng/g. The recovery of low and high concentration spiked sample was between 70% and 120% (Figure 5). LLOQ was defined as the lowest concentration at which the signal-to-noise was at least 10 and accuracy achieved to 100±30%. LLOQs of the paralytic marine toxins were found between 1ng/g and 50 ng/g.

Figure 2.  Representative chromatograms for paralytic shellfish toxins ionized in positive ion mode.
#efefef
image-left
Figure 3. Representative chromatograms for paralytic shellfish toxins ionized in negative ion mode (overlaid).
#efefef
image-left
Figure 4.  Calibration curves of STX and GTX4. Shown are the calibration curves for STX (top) from 0.05 to 2 ng/mL and for GTX4 (middle) from 0.25 to 10 ng/mL. Two MRM transitions were monitored: fragment 1 (blue) and fragment 2 (pink). R-values shown for both transitions for both representative analytes are >0.99, demonstrating excellent linear range and response for the assay. LLOQs determined for each of the PSTs are also shown in the bottom panel; these were varied across analytes.
#efefef
image-left
Figure 5.  Recovery and LLOQ values shown for the panel of paralytic marine toxins. Recovery assessed over two level concentrations ranged from 70% to 120%, the RSD% less than 30%.
#efefef
image-left
Table 2. MRM Transitions and Retention Times are Provided for Two Transitions for each Paralytic Shellfish Toxin
#efefef
image-bottom
Conclusions

Conclusions

A fast, robust, and reliable method for the detection 14 paralytic shellfish toxins in the matrix shellfish was developed and validated on the QTRAP 6500+ System. A fast purification method was used to cover all these 14 toxins. The method was validated in different shellfish matrices. Limits of Quantitation (LOQ) of all toxins were found between 1.0ng/g and 50 ng/g. All LOQ meet the requirements of regulation.

References

References

  1. European Commission (EC) No. 853/2004
  2. GB 5009.213-2016
  3. Food safety supervise department 0305, No2 (Japan).
  4. Michael J. Boundy, Andrew I. Selwood, D. Tim Harwood,  et al.,  ( 2015) Development of a sensitive and selective liquid chromatography-mass spectrometry method for high throughput analysis of paralytic shellfish toxins using graphitized carbon solid phase extraction. Journal of Chromatography A1387, 1-12.
  5. Choonshik Shin, Haerim Jang, Hyejin Jo,  et al.,  (2017) Development and validation of an accurate and sensitive LC-ESI-MS/MS method for the simultaneous determination of paralytic shellfish poisoning toxins in shellfish and tunicate. Food Control,   77, 171-178.