Quantitative and qualitative analysis of oxylipins using highresolution mass spectrometry

Download PDF
Paul RS Baker1, Paul Norris1, and Thomas Horvath2,3

1SCIEX, USA; 2Dept of Pathology, Texas Children’s Hospital, Houston, TX; 3Dept of Pathology & Immunology, Baylor College of Medicine, Houston, TX
Download PDF
/content/dam/SCIEX/pdf/tech-notes/life-science-research/RUO-MKT-36455-A_Quantitative_analysis_of_lipid_mediators_onthe_8600_Final.pdf
_blank
_blank
Abstract
abstract
Key benefits
Keybenefits
Introduction
Introduction
Methods
Methods
Conclusion
Conclusion
References
References
abstract

Abstract

This technical note highlights the application of the ZenoTOF 8600 system, a hybrid quadrupole time-of-flight (QTOF) mass spectrometer, for comprehensive quantitative and qualitative analysis of oxylipins. Traditionally, oxylipin quantitation is performed using triple quadrupole mass spectrometry (TQMS) in the multiple reaction monitoring (MRM) scan mode, which offers high sensitivity and precision when paired with optimized chromatographic separation. However, TQMS platforms are limited in their ability to simultaneously perform structural characterization without compromising duty cycle and quantitative performance.

In contrast, high-resolution mass spectrometry (HRMS) platforms, such as the ZenoTOF 8600 system, enable the acquisition of full product ion spectra during quantitative analysis without compromising sensitivity, accuracy, or throughput. The system also incorporates electron-activated dissociation (EAD), a fragmentation technique complementary to collision-induced dissociation (CID), which significantly enhances structural elucidation of oxylipin isomers by generating rich and diagnostic fragment ion profiles.

In this study, 70 oxylipins were quantitatively analyzed using the ZenoTOF 8600 system. External calibration curves were constructed to determine the lower limits of quantitation (LLOQ). Additionally, EAD-based fragmentation was employed to identify isomer-specific diagnostic ions, improving compound specificity and confidence in structural assignment.

These results demonstrate that the ZenoTOF 8600 system offers high-end TQMS-level sensitivity with the added benefit of high-resolution structural characterization, making it an ideal platform for advanced oxylipin profiling in complex biological matrices.

Figure 1. Standard curve for 20-hydroxyleukotriene B4 (20-OHLTB4. Compound analysis was performed in the negative ion mode using the  ZenoTOF 8600 system with reversedphase chromatography. The LLOQ (0.0864 pg/µL; green box) was defined as the lowest injected standard with a peak-topeak signal-to-noise (S/N) ratio > 5; the region where noise was calculated is shaded grey in the example chromatograms. Quantitative statistics are derived from n = 3 to 5 replicates.
#efefef
image-top
Keybenefits

Key features of oxylipin analysis on the ZenoTOF 8600 system

  • The ZenoTOF 8600 system detects and quantifies oxylipins with an LLOQ as low as 0.00988 pg/µL (0.05 pg on column)

  • The simultaneous acquisition of full product ion spectra during quantitative analysis enables structural characterization and
    verification of oxylipins

  • Electron-activated dissociation (EAD) provides structurally diagnostic fragments that can distinguish oxylipin isomers

Introduction

Introduction

Oxylipins represent a structurally diverse class of bioactive lipid mediators formed through the enzymatic or auto-oxygenation of polyunsaturated fatty acids (PUFAs), including but not limited to arachidonic acid, linoleic acid, eicosapentaenoic acid, and docosahexaenoic acid [1]. These compounds play pivotal roles in modulating inflammation, immune responses, vascular tone, and other physiological processes. Their biosynthesis is mediated by several enzyme families—cyclooxygenases (COX), lipoxygenases (LOX), and cytochrome P450 monooxygenases (CYP)—yielding distinct subclasses of compounds such as prostaglandins, leukotrienes, hydroxyeicosatetraenoic acids  (HETEs), and epoxyeicosatrienoic acids (EETs). Given their potent biological activity and involvement in numerous pathological conditions,  accurate quantitation of oxylipins in biological matrices is essential for elucidating their roles in health and human diseases.

Liquid chromatography coupled with tandem mass spectrometry (LC-MS/MS) is the primary analytical technique for oxylipin analysis due to
the high sensitivity, specificity, and capacity to resolve structurally similar isomers (2,3). Targeted LC-MS/MS workflows typically use multiple reaction monitoring (MRM) and stable isotope-labeled internal standards to mitigate matrix effects and instrument variability.

Recent advances in mass spectrometry have significantly enhanced the sensitivity and structural characterization of oxylipin analysis. The
SCIEX ZenoTOF 8600 system integrates Zeno trap pulsing with highresolution mass spectrometry (HRMS), achieving sensitivity levels comparable to or exceeding those of ultra-sensitive TQMS systems [4-6]. This platform enables comprehensive oxylipin profiling with
improved detection of low-abundance species.

Despite these technological advancements, several analytical challenges persist. Oxylipins are typically present at low nanomolar to picomolar concentrations and are susceptible to rapid degradation and oxidation. Therefore, meticulous sample preparation and the use of highly sensitive instrumentation are critical. Additionally, the presence of regio- and stereoisomers complicates chromatographic separation, necessitating optimized LC conditions and the availability of pure analytical standards for confident identification.

Structural verification during quantitative analysis is often achieved via MRM-triggered product ion scans. However, in TQMS systems, this approach can compromise the experimental duty cycle and quantitative performance of the measurement unless a hybrid linear ion trap TQMS, such as the SCIEX QTRAP 7500+ system, is employed. In contrast, HRMS platforms, such as the ZenoTOF 8600 system, acquire full product ion spectra as part of routine, MRMHR-based data acquisition, allowing for post-acquisition selection of diagnostic fragments for quantitation. A notable innovation of the ZenoTOF 8600 system is its capability to fragment the precursor ion with EAD. This fragmentation technique generates a richer array of product ions compared to traditional CID-based fragmentation. EAD facilitates the structural elucidation of oxylipin isomers by generating diagnostic fragments that reveal the positions of oxygen(s), locations of double bonds, and information regarding endocyclic ring structures [7]. This enhanced structural resolution is particularly valuable for distinguishing isomeric oxylipins in complex biological samples.

This technical note demonstrates the capabilities of the SCIEX ZenoTOF 8600 for targeted analysis of 70 oxylipin primary reference
standards. We outline an optimized LC-HRMS workflow, compare EAD-derived fragment spectra to conventional CID, and highlight the
improved confidence in structural assignment afforded by the enhanced fragmentation coverage. These findings underscore the
potential of the ZenoTOF 8600 system to advance oxylipin research through superior sensitivity and isomer differentiation.

Methods

Materials and Methods

Materials: Oxylipin standards (Table 1) were obtained from Cayman Chemical. LC-MS grade solvents were sourced from Burdick and Jackson, selected for their minimal background chemical noise in the 100–500 Da range when used for negative ion mode analysis—an
important consideration for oxylipins.

Sample preparation: Four primary combined intermediate standard mixtures of oxylipins were prepared. Each mixture contained multiple
standards that were combined in a way that minimized isobaric overlap among compounds at the MRMHr level, ensuring the correct assignment of retention times for each lipid mediator. For the generation of standard curves, aliquots from all 4 mixtures were combined to generate a single standard mixture for injection/analysis. 5 µL of the final standard mixture was injected on the column.

Chromatography: Analyses were performed using a ZenoTOF 8600 system coupled with an Exion UHPLC and a Phenomenex Omega Polar C18 column (150 × 2.1 mm, 2.6 µm). The autosampler was maintained at 8°C, the column temperature was 50°C, the flow rate was 0.5 mL/min, and the total run time was 20 minutes. A comprehensive SOP for lipid mediator analysis on SCIEX TQMS is available here [8]. Mobile phases consisted of (A) 0.1% acetic acid in water and (B) 0.1% acetic acid in acetonitrile. Acetic acid was used instead of formic acid to enhance signal intensity and lower LOQs in negative ion mode. Gradient conditions are detailed in Table 2.

Mass spectrometry: Sample extracts were analyzed using the ZenoTOF 8600 system with an OptiFlow Pro ion source and a scheduled, high-resolution multiple reaction monitoring (sMRMHR) scan mode. CID-based fragmentation was used for the quantitative analysis of oxylipin standard curves, and EAD was used for enhanced analyte structural characterization. Compound parameters are presented in Table 1, and MS instrument parameters are presented in Table 3.

Table 1. Compound parameters for targeted oxylipin analysis on the ZenoTOF 8600 system
#efefef
image-bottom
Table 2. Chromatic gradient conditions
#efefef
image-bottom
Table 3. Compound parameters for oxylipin analysis on the ZenoTOF 8600
#efefef
image-bottom
Data processing: data were acquired using SCIEX OS 4.0 software. Quantitative analysis of oxylipin standard curves was processed using the Analytics module in SCIEX OS. Quantitation of oxylipins is somewhat controversial, particularly in complex matrices. Recently, guidelines for reporting the measurement of oxylipins have been published [9]. To present the data in compliance with these guidelines, the LLOQs for each compound were determined as the lowest standard injection for which the signal-to-noise ratio (S/N) is greater than 5. This calculation must be performed using raw or unsmoothed data. Smoothing will artificially lower the noise level, resulting in potentially misleading (i.e., higher) S/N values. This is an important consideration for measurements in complex matrices. Of note, the default setting for S/N calculations in SCIEX OS is based on the standard deviation of the noise. There is, however, an alternative algorithm, the peak-to-peak noise S/N calculation, that can be chosen in the Results default settings (this must be selected prior to processing the data). This algorithm calculates noise directly from the chromatogram and performs calculations on peak heights of the noise and analyte signals rather than averaging. Also considered for LLOQ
values was the caveat that for replicate injections, the %CV was at or below 20%, and the accuracy of the calculated concentration was within ±20 %. All 3 conditions must be met at the LLOQ for each compound. Standard curves were fit to a linear regression with either a 1/x or 1/x2 weighting. Slopes with r2 values > 0.975 were deemed acceptable for the determination of LLOQ for each compound, provided that their respective S/N values were >5.

Results and discussion

Quantitative analysis of oxylipins
A driving force behind method development for oxylipin analysis has been the goal to improve compound detection in vivo by leveraging the increasing sensitivity of mass spectrometers. The ZenoTOF 8600 system offers high sensitivity comparable to the most sensitive high-end TQMS systems [6], and it possesses the unique ability afforded to HRMS instruments to extract product ions with a narrow extracted ion chromatogram (XIC) window. This enables the extraction of target fragment ions with lower levels of contaminating ions associated with the sample matrix and the chemical background of mobile phase solvents. This generally results in lower noise levels in the XIC, which can translate to lower LOQs [4].

The oxylipin standard curves prepared for analysis contained all 70 targeted compounds (Table 1). Their individual concentrations varied
according to the concentration of the stock solutions obtained from the manufacturer; consequently, some oxylipin standard curves ranged from 0.00988 to 98.8 pg/µL, while the others ranged from 0.0494 to 494.4 pg/µL.

The oxylipin standards were analyzed in the negative and positive ion modes, depending on the compound (Table 1). Figure 1 shows the analytical results for 20-OH-LTB4. The LOQ was determined to be 0.0329 pg/µL, corresponding to 0.1645 pg on column with a 5 µL injection volume; the signal to noise (S/N) average for the LOQ of 20-OH-LTB4 was 37, which means the true LOQ may be lower than that noted here. Example XIC chromatograms are shown for the blank and each standard concentration injected, which show good peak shape and minimal background interference. The latter is an important consideration even with standards prepared in neat solvent. Many solvent brands have significant chemical background contamination that appears during negative ion mode analysis at masses < 500 Da. In these experiments, solvents were purchased from Burdick and Jackson (also sold under the Honeywell brand), which have the lowest background contamination levels among the different solvent brands we have tried.

An additional representative example of oxylipin quantitation is shown in Figure 2, highlighting 14,15-dihydroxyeicosatrienoic acid (14,15- DiHETrE), which exhibited an LLOQ in this study at 0.0329 pg/µL (0.05 pg on-column at a 5 µL injection volume). This underscores the ZenoTOF 8600 system’s capability to deliver TQMS-level sensitivity while simultaneously acquiring full product ion spectra without compromising duty cycle. LOQs for all 70 targeted oxylipins are summarized in Table 4. On-column amounts can be calculated by multiplying the standard concentration by the 5 µL injection volume.

Figure 2. Standard curve for 14,15-dihydroxyeicosatrienoic acid (14,15-DiHETrE), prepared by serial dilution from 98.8 to 0.00864 pg/µL. Data were processed without smoothing. The LLOQ is defined as the lowest injected standard with a peak-to-peak S/N ratio > 5; the blank region is shaded in the example peaks for each concentration. Also considered for the LLOQ was a %CV and average accuracy of the calculated concentration within 20% of the actual value. The LLOQ for 14,15-DiHETrE was found to be 0.0329 pg/µL (green box).
#efefef
image-top
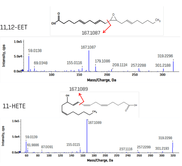
Figure 3. CID-based fragmentation product ion spectra for 11,12-EET and 11-HETE. CID-based product ion analysis generates the same fragmentation pattern for each isomer, and they have the same mrm transitions.
#efefef
image-top
Table 4. The lower limits of quantitation (LLOQ) for oxylipins analyzed using the ZenoTOF 8600 system. Data were processed according to the recently published guidelines for the analysis of oxylipins by mass spectrometry [9]
#efefef
image-bottom

The sensitivity of the ZenoTOF 8600 system, as determined by the LLOQ values determined in standard mixtures, may vary in biological samples due to matrix effects. While matrix effects were not evaluated in this study, they are expected to be mitigated by the system’s use of narrow XIC windows for targeted fragment ions. We previously demonstrated the effects of narrow XIC windows on quantitative plasma bile acid analysis using the ZenoTOF 7600 system, with results  comparable to those obtained with high-end TQMS platforms [4]. Ongoing studies are focused on extending oxylipin quantitation to complex biological samples using the ZenoTOF 8600 system.

The quantitative data were processed according to recently published guidelines for oxylipin analysis by mass spectrometry [9]. At SCIEX, data from quantitative measurements are rigorously evaluated in terms of replicate injections (n ≥ 5 at lower concentrations), %CV (<15-20%), and accuracy of the calculated concentration (±15–20%). Typically, the data are smoothed during processing. For most applications, these parameters are considered standard practice. However, the field of oxylipin research has demonstrated that these guidelines were insufficient to accurately identify and quantify oxylipins in biological samples, where matrix interferences and endogenous isomers significantly impact the quantitative performance of the assay. We found that the LLOQ values calculated using the new guidelines, which require data to be processed with no smoothing and the S/N to be calculated using a peak-to-peak type of algorithm, were ~4-5 times higher compared to data when it is smoothed. However, this method should enable higher confidence data from complex matrices where background noise is significant.

When comparing the sensitivity among different mass spectrometers, it is crucial to fully understand how the quantitative data is processed.
Due to the controversy surrounding oxylipin research, particularly in terms of quantitation, it is recommended that the new guidelines [9] be followed when using SCIEX instruments to measure oxylipins to minimize potential reporting errors.

Qualitative analysis of oxylipins by CID and EAD

One of the most significant analytical challenges in oxylipin analysis is resolving structural isomers, particularly regio- and stereoisomers. In the absence of co-acquired qualitative data, such as MRM-triggered product ion spectra, accurate identification relies heavily on chromatographic separation, which must be validated with authentic standards. A key advantage of the ZenoTOF platform of instruments is their ability to acquire full product ion spectra during quantitative measurement, enabling structural verification against curated oxylipin libraries without compromising duty cycle. Traditionally, product ion matching has relied on CID-based fragmentation, which favors cleavage of weaker heteroatom bonds and limits structural insight into carbon-carbon frameworks. In contrast, EAD produces a significantly richer fragmentation pattern, including fragments generated by the cleavage of carbon-carbon bonds, yielding ~15× more fragments than CID. This enhanced spectral detail can provide critical diagnostic ions for confident structural characterization of oxylipin isomers.

To determine whether EAD provides evidence to distinguish isomers, oxylipins were analyzed using the ZenoTOF 8600 system using  EAD-based fragmentation. Compounds were analyzed in the positive ion mode, targeting sodiated adducts of each analyte. Although the ZenoTOF 8600 system can perform EAD-based fragmentation in the negative ion mode (termed electronically-excited dissociation (EED)), this fragmentation process is relatively inefficient compared to EAD, which is performed in the positive ion mode. Considering that endogenous oxylipin concentrations are typically found at low nanomolar to picomolar levels, EED is not appropriate for this class of molecules using an LC-based time frame of analysis.

Figure 3 shows the CID-based fragmentation product ion spectra for 11-hydroxyeicosatetraenoic acid (11-HETE) and 11,12-epoxyeicosatrienoic acid (11,12-EET). These isomers have the same fragmentation pattern, with no significantly distinctive MS/MS features
from one another, although the peak intensities do vary. The same CID-based MRM transition is used to detect both species, and they are uniquely identified solely based on their chromatographic resolution. Figure 4 shows the EAD-based fragmentation data for these 2
molecules, wherein the 2 spectra are presented in an inverse and overlaid format, with the 11-HETE spectrum inverted to facilitate the
identification of differences among the fragments. Notable fragments for each oxylipin are indicated with red arrows. In contrast to CID, EAD-based fragmentation generates a different fragment profile for each compound. Close inspection of the spectra reveals unique,  diagnostic fragments that can be used to distinguish the two isomers (Figures 5 and 6).

Figure 4. Overlaid EAD-based fragmentation product ion spectra for 11,12-EET and 11-HETE. In contrast to the CID spectra for these analytes, EAD-based fragmentation generates unique spectra. Structurally diagnostic fragment ions are highlighted with red arrows for each compound.
#efefef
image-top

Figure 5 shows the user interface in the Explore module of SCIEX OS 4.0 software (left). The product ion spectrum for 11,12-EET appears in the top panel, and the fragment m/z 231.0984 is highlighted. This fragment does not appear in the spectrum for 11-HETE. Using a .mol file with the Fragment Pane tool within the Explore module in SCIEX OS software, a potential structure for the fragment is identified in bold, which has a mass error of 0.001 Da. An XIC of the fragment is shown  on the right, which displays a predominant peak at 15.57 min, corresponding to the retention time of 11.12-EET (based on CID-based qualitative data to determine retention times of analytes). Figure 6
shows similar data for 11-HETE. Two fragments were identified that are unique from those generated by 11,12-EET using EAD-based fragmentation. In (A), the base fragment peak at m/z 151.0350 has a potential structure that distinguishes it from 11,12-EET; however, this fragment is common to any delta-5 fatty acid (e.g., arachidonic and eicosapentaenoic acids), so there would likely be background interference in a biological matrix. In (B), a fragment at m/z 245.1152 is identified that is more specific to the structure of 11-HETE. The XIC for both fragments shows a clean chromatographic peak at the correct retention time of 14.44 min. It is important to note that these studies employed primary reference standards diluted with solvent; therefore, matrix effects were not addressed, and the resulting data may be more challenging to interpret.

The use of EAD-based fragmentation can and should be employed as a tool when chromatographic separation fails to cleanly separate isomers. It may also be useful to segregate target oxylipins from unknown isomers present in the matrix. However, due to its lower fragmentation efficiency compared to CID (approximately 30% fragmentation of the precursor ion vs. approximately 95% via CID-based fragmentation), EAD should be used as a complementary fragmentation method for quantitative purposes when chromatography does not provide sufficient specificity. Fortunately, EAD-based fragmentation can be utilized in the same experiment with CID-based fragmentation, and the fragmentation mode can be chosen for selected precursor ions during a predominantly CID-based analytical run. Additionally, multiple fragments for an analyte can be summed, which may mitigate the decreased sensitivity with EAD-based fragmentation.

In summary, the ZenoTOF 8600 system exhibits sensitivity comparable to that of our highest-end TQMS systems, while also providing qualitative structural information during quantitative analysis.

Casestudy
Figure 5. EAD-based fragmentation product ion spectra for 11.12-EET. Presented here is a screen capture from the Explore module of SCIEX OS software. The upper left panel shows the MS/MS spectrum of 11,12-EET. Highlighted in red is the base fragment peak at m/z 231.0984; this fragment does not appear in the spectrum for the 11-HETE. A proposed fragment structure is shown in the lower left panel, which has a mass error of 0.001 Da between the actual and theoretical values. To the far right is an XIC for m/z 2313.0984, showing a single peak at the correct retention time for the compound.
#efefef
image-top
Figure 6. EAD-based fragmentation product ion spectra for 11-HETE. Two EAD-based fragments were selected that are unique to 11-HETE when compared to 11,12-EET, one at m/z 151.0350 and the other at m/z 245.1152. (A) The most intense fragment, m/z 151.0350, is unique for 11-HETE, as is clear from the XIC from m/z 151.0350 shown on the right. However, this is a common feature of all delta-5 fatty acids (e.g., arachidonic and eicosapentaenoic acids) and may not be diagnostic in a complex matrix. (B). The fragment m/z 245.1152 is unique to 11-HETE and may provide better specificity in complex matrices.
#efefef
image-top
Conclusion

Conclusion

  • The ZenoTOF 8600 system can detect and quantify oxylipins with a sensitivity similar to high-end triple quadrupole instruments, with LOQ values as low as 0.05 pg on column

  • Quantitative data were processed following recently published guidelines on the analysis of oxylipins by mass spectrometry [9]

  • The complementary fragmentation mode EAD provides key, structurally diagnostic fragments that enable distinction among oxylipin isomers

References
text-left

References

  1. Hajeyah, A. A., Griffiths, W. J., Wang, Y., Finch, A. J., & O'Donnell, V. B. (2020). The Biosynthesis of Enzymatically Oxidized Lipids. Frontiers in endocrinology, 11, 591819.
    https://doi.org/10.3389/fendo.2020.591819
  2. Schebb, N. H., Kampschulte, N., Hagn, G., Plitzko, K., Meckelmann, S. W., Ghosh, S., Joshi, R., Kuligowski, J., Vuckovic, D., Botana, M. T., Sánchez-Illana, Á., Zandkarimi, F., Das, A., Yang, J., Schmidt, L., Checa, A., Roche, H. M., Armando, A. M., Edin, M. L., Lih, F. B., … O'Donnell, V. B. (2025). Technical recommendations for analyzing oxylipins by liquid chromatography-mass spectrometry. Science signaling, 18(887), eadw1245.
    https://doi.org/10.1126/scisignal.adw1245
  3. Norris, P, Kapil, S., and Pearson, M. Higher sensitivity analysis of a large panel of lipid mediators. SCIEX technical note RUO-MKT-02-12508-A:
    https://sciex.com/content/dam/SCIEX/pdf/tech-notes/all/higher-sensitivity-profiing-of-ipid-mediators-7500.pdf
  4. Baker, P.R.S., van Soest, S., Proos, R., Seferovic, M.D., and Horvath, Quantitative analysis and structural characterization of bile acids using the ZenoTOF 7600MS system. SCIEX technical note MKT-30747-A:
    https://sciex.com/tech-notes/life-science-research/metabolomics/quantitative-analysis-and-structural-characterization-of-bile-ac
  5. Baker, P.R.S., van Soest, R., Kapil, S., Proos, R., Seferovic, M.D., and Horvath, T. Quantitative and qualitative bile acid analysis on the ZenoTOF 8600 system using EAD. SCIEX technical note MKT-31589-A:
    https://sciex.com/tech-notes/life-science-research/metabolomics/quantitative-and-qualitative-bile-acid-analysis-on-the-zenotof-8600-system
  6. Selen, E., Baghla, R., Causon, J., and Galermo, E. Enhanced sensitivity and quantitative performance featuring a novel quadrupole time of flight mass spectrometer. SCIEX technical note MKT-33800-A:
    https://sciex.com/tech-notes/pharma/bioanalysis-pk/enhanced-sensitivity-and-quantitative-performance-featuring-a-novel-quadrupole-time-of-flight-mass-spectrometer
  7. Baba, T., Campbell, J. L., Le Blanc, J. C. Y., & Baker, P. R. S. (2023). Structural Identification of Eicosanoids with Ring Structures Using Differential Mobility Spectrometry-Electron Impact Excitation of Ions from Organics Mass Spectrometry. Journal of the American Society for Mass Spectrometry, 34(1), 75–81.
    https://doi.org/10.1021/jasms.2c00256
  8. Comprehensive targeted method for lipid mediator analysis. SCIEX technical note RUO-MKT-02-12096-A: https://sciex.com/content/dam/SCIEX/pdf/tech-notes/all/targeted-method-for-lipid-mediators.pdf
  9. Schebb, N. H., Kampschulte, N., Hagn, G., Plitzko, K., Meckelmann, S. W., Ghosh, S., Joshi, R., Kuligowski, J., Vuckovic, D., Botana, M. T., Sánchez-Illana, Á., Zandkarimi, F., Das, A., Yang, J., Schmidt, L., Checa, A., Roche, H. M., Armando, A. M., Edin, M. L., Lih, F. B., … O'Donnell, V. B. (2025). Technical recommendations for analyzing oxylipins by liquid chromatography-mass spectrometry. Science signaling, 18(887), eadw1245.
    https://doi.org/10.1126/scisignal.adw1245