Differentiation of leucine and isoleucine for enhanced sequence variant analysis using electron activated dissociation


Haichuan Liu and Zoe Zhang

SCIEX, USA

Abstract


This technical note highlights the capability of electron activated dissociation (EAD) for the differentiation of isomeric leucine (Leu) and isoleucine (Ile) residues in biotherapeutics. EAD generated signature fragments z-43 for Leu and z-29 for Ile for clear differentiation of these 2 amino acid isomers. This unique ability of EAD was leveraged to determine that the Xle residue involved in a Val→Xle substitution (Xle=Leu or Ile) for a low-abundant sequence variant (SV) was an Ile instead of Leu.

The presence of SVs in protein therapeutics has attracted attention from the biopharmaceutical industry and regulatory agencies.1-3 Detailed analysis of SVs is important for process and product development to ensure the safety and efficacy of the drugs. The SVs involving the formation of Xle can be encountered in the cell culture process.1-3 It is challenging to determine the exact identity of Xle using traditional chromatographic or collision-based tandem mass spectrometry (MS/MS) approaches.4 Although traditional electron-based MS/MS techniques can generate signature z-43 and z-29 fragments for the differentiation of Leu and Ile residues, 4 these methods have limited scanning speed and sensitivity, and hence are not suitable for routine characterization of low-abundant SVs. By comparison, EAD is fast and sensitive and can provide confident identification of low-abundant species and unambiguous differentiation of amino acid isomers.5-7

In this technical note, streamlined EAD workflows were employed to characterize Leu- and Ile-containing peptides from biotherapeutics using the ZenoTOF 7600 system. The detection of diagnostic fragments z-43 for Leu and z-29 for Ile enabled rapid confirmation of these 2 amino acid residues. In addition, EAD led to confident identification of a low-abundant SV with the Val→Xle substitution and accurate assignment of the Xle residue as Ile instead of Leu. 

Key features of EAD for isomer differentiation and SV analysis
 

  • Unambiguous differentiation of isomers: EAD generates signature fragments for confident differentiation of amino acid isomers

  • High sensitivity: Zeno trap improves the detection of MS/MS fragments by 5- to 10-fold, enabling confident identification of low-abundant SV peptides

  • Fast and flexible: EAD operates in fast and flexible modes of data-dependent acquisition (DDA) or MRMHR with a rapid scanning rate (~20 Hz in DDA mode) and the ability to tune the electron kinetic energy (KE)

  • Accurate localization: EAD preserves labile post-translational modifications (PTMs) for their accurate localization

  • Single-injection method: The fast and sensitive EAD DDA workflow is a powerful tool for routine characterization of biotherapeutics

Figure 1. Identification and elucidation of a Val→Xle (Xle=Leu or Ile) substitution in biotherapeutics using EAD with the ZenoTOF 7600 system. Two lowabundant Val→Xle variants (<0.05%) of the VVSVLTVLHQDWLNGK (“VVSV”) peptide were detected in etanercept (left panel). The highly sensitive EAD approach offered by the ZenoTOF 7600 system (middle panel) led to a rich fragmentation spectrum of the late-eluting variant despite its low level (right panel). The detection of a signature z13-29 (loss of C2H5) fragment enabled the confident assignment of the Xle residue as Ile instead of Leu. In addition, EAD generated signature w (z-43) fragments for the simultaneous confirmation of multiple Leu residues in the VVSV peptide.

Introduction
 

The isomerization of amino acid residues, particularly when occurring in the complementarity-determining regions (CDRs), can affect the structure and function of biotherapeutics.8 Therefore, the differentiation of amino acid isomers is essential for sequence confirmation to ensure the safety and efficacy of the drug products. Additionally, isomeric residues, such as Leu and Ile, are involved in amino acid substitutions of SVs.1-3 The presence of SVs in biotherapeutics raises concerns for the biopharmaceutical industry and regulatory agencies. 1-3 The determination of the exact identity of Leu or Ile will provide critical information for process development to control the level of the SVs containing these residues. 

Methods


Samples preparation: 10 µg/uL of NISTmAb (RM 8671, NIST) and etanercept were denatured with guanidine hydrochloride, followed by reduction using dithiothreitol and alkylation with iodoacetamide. The solutions were subjected to buffer exchange using Bio-Spin 6 columns (Bio-Rad Laboratories). Enzymatic digestions were performed using trypsin/Lys-C mix (Promega). ~10 µg of the final digests was injected for LC-MS analyses.

Chromatography: Tryptic peptides were separated with the gradient displayed in Table 1 using an ACQUITY BEH C18 column (2.1 × 150 mm, 1.7 µm, 130 Å, Waters). A flow rate of 0.25 mL/min was used for the chromatographic separation. The column was kept at 60C in the column oven of an ExionLC AD system (SCIEX). Mobile phase A was 0.1% formic acid (FA) in water and mobile phase B was 0.1% FA in acetonitrile.

Table 1. LC gradient for peptide separation.

Mass spectrometry: DDA and MRMHR methods using EAD were created in SCIEX OS software. The LC-MS data were acquired using the ZenoTOF 7600 system (SCIEX) equipped with a Zeno trap and EAD cell. In peptide mapping experiments, the EAD DDA method was employed to identify all tryptic peptides including low-abundant SVs. The EAD MRMHR method was employed to further characterize the SVs with Val→Xle substitutions. The key TOF MS and MS/MS settings are listed in Tables 2 and 3, respectively.

Data processing: EAD DDA and MRMHR data were analyzed using Biologics Explorer software (SCIEX). Biologics Explorer software provides the annotation of w ions for rapid determination of Leu or Ile residues.

Table 2. TOF MS parameters

Table 3. DDA and MRMHR parameters using EAD.

Confirmation of Leu and Ile residues by EAD


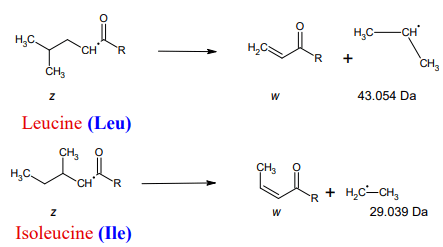
The differentiation of isomeric Leu and Ile residues poses an analytical challenge to traditional collision-based MS/MS techniques, such as collision-induced dissociation (CID), because these approaches do not generate residue-specific fragments.4 By contrast, electron-based MS/MS methods, such as EAD, can induce secondary fragmentation of the side chains of Leu or Ile in the z ions, leading to the formation of diagnostic w ions, namely z-29 for Ile and z-43 for Leu (Figure 2).4 Compared to traditional electron-based fragmentation methods, EAD offers a faster scan rate, higher sensitivity and less maintenance. In addition, the ability to adjust electron KEs for EAD enabled the determination of the optimal KE (7 eV) for the detection of diagnostic fragments for the differentiation of Leu and Ile.7 In this work, an electron KE of 7 eV was applied to characterize all Leu or Ile-containing peptides.

Figure 2. Differentiation of Leu and Ile residues using EAD. EAD can lead to secondary fragmentation of the side chains of Leu and Ile residues in the z ions, producing signature w ions (z-29 and z-43) from the neutral loss of C3H7 (43 Da) for Leu and C2H5 (29 Da) for Ile. The detection of these diagnostic fragments enables unambiguous differentiation of Leu vs. Ile.

Figure 3 shows the CID and EAD MS/MS spectra of the peptide DTLMISR containing 1 Leu and 1 Ile residues. Although CID produced abundant a/b/y-type sequence fragments for confident identification of this peptide (Figure 3A), the exact identity of Leu and Ile in positions 3 and 5 cannot be confidently confirmed without additional supporting data. By comparison, EAD led to more extensive fragmentation of the peptide backbone for increased confidence in peptide identification (Figure 3B). EAD can further cleave the side chains of amino acid residues in the z ions to form residue-specific w fragments. As described above, the signature w ions are z-43 for Leu and iz-29 for Ile. The detection of z3-43 and z5- 29 in the EAD spectrum of DTLMISR confirmed the Leu and Ile residues in positions 3 and 5, respectively (Figure 3B).

Figure 3. Comparison of CID and EAD MS/MS spectra of DTLMISR from NISTmAb. Compared to CID (A), EAD led to the detection of richer fragments for improved confidence in peptide identification. In addition, EAD generated diagnostic w ions (z3-29 and z5-43) for the confirmation of Leu3 and Ile5 residues (B).

Figure 4 shows another example of using EAD to confirm 3 Leu residues in the native and deamidated forms of the VVSV peptide from NISTmAb. The detection of 3 signature w ions, including z4-43, z9-43 and z12-43, confirmed the presence of 3 Leu residues in their respective position. For the deamidated form, EAD also generated signature z3-57 and c13+57 ions to determine that this species is an isoaspartic acid (isoD) isomer (Figure 4B). Additionally, EAD with an electron KE of 7 eV led to the formation of other residues-specific w ions, such as abundant w4 (z4-61) for Met in DTLMISR (Figure 3B) and w7 (z7-58) for Glu in the VVSV peptide (Figure 4B). These results demonstrate the power of EAD for confident sequence confirmation and isomer differentiation.

Figure 4. EAD confirmed the identity of 3 Leu residues in VVSVLTVLHQDWLXGK (X=N or isoD) from NISTmAb. The identity of 3 Leu residues in the native (A) and deamidated (B) forms of the VVSV peptide can be confidently confirmed based on the detection of 3 diagnostic w ions, including z4-43, z9- 43 and z12-43. EAD also generated signature z3-57 and c13+57 fragments for the determination of the isoD residue in the deamidated form of this peptide (B).

Elucidation of an Xle-containing SV peptide using EAD


The identification and elucidation of SVs provide valuable information for process development to control their levels to ensure product quality.1-3 The SVs involving the amino acid substitution of Val→Xle (Xle=Leu or Ile) have been detected in biotherapeutics.1-3 It is challenging to determine the exact identity of Xle in those SVs using collision-based MS/MS approaches because these fragmentation techniques cannot generate signature ions for Leu or Ile.4 Although traditional electron-based MS/MS techniques can produce diagnostic w ions for the differentiation of Leu and Ile,4 these methods have limited sensitivity and are not suitable for routine analysis of low-abundant SV peptides. The Zeno trap introduced for the ZenoTOF 7600 system increased the detection of MS/MS fragments by 5-10 folds, enabling routine identification and elucidation of lowabundant peptides using EAD.5-7 In this work, EAD was employed to identify and characterize a Val→Xle variant of the VVSV peptide from NISTmAb and etanercept.

Figure 5 shows the detection and elucidation of 2 Val→Xle variants identified in the tryptic digests of NISTmAb and etanercept using EAD. The EAD spectra of the Val4→Xle variants highlighted in the insets of Figures 5A and 5C are displayed in Figures 5B and 5D, respectively. Despite the low abundance (<0.05%) of these SV peptides (Figures 5A and 5C), EAD led to rich fragmentation spectra for confident sequence identification and determination of the Xle residue (Figures 5B and 5D). The detection of a z13-29 (w13) ion in the EAD spectra of 2 Val4→Xle variants (Figures 5B and 5D) indicates that the Xle residue involved in this amino acid substitution was an Ile instead of Leu. Similar results were also obtained for the Val7→Xle variants (data not shown). In addition to the elucidation of the Xle residue, EAD data generated w4, w9 and w12 ions for the confirmation of 3 Leu residues in their respective positions (Figures 5B and 5D).

Figure 5. EAD enabled detailed elucidation of a Val→Xle variant in NISTmAb and etanercept. Two very low-abundant (<0.05%) variants of the VVSV peptide were identified in tryptic digests of NISTmAb and etanercept (A and C). The EAD MS/MS spectra of the Val4→Xle SVs highlighted in the insets of A and C are displayed in B and D, respectively. The detection of a z13-29 (w13) ion in 2 EAD spectra shows that the Xle residue is an Ile instead of a Leu. Not all fragments are labeled in B and D for spectral clarity.

Intuitive SCIEX OS software for method creation and data acquisition


The data described in this technical note were processed using Biologics Explorer software, which provides optimized workflow templates for streamlined peptide mapping and isomer differentiation. In addition, Biologics Explorer software offers powerful tools for data visualization and results review.

While data analysis was performed using Biologics Explorer software, method creation and data acquisition were achieved within intuitive SCIEX OS software. Figure 6 shows the interfaces for the creation of DDA and MRMHR methods. The prebuilt method templates provide a good starting point for the user to create application-specific methods. Different sections of DDA and MRMHR methods can be displayed individually or on 1 page, allowing easy navigation and setting of each parameter. EAD parameters, such as electron KE and reaction time, are set in the MS/MS section of a DDA method (Figure 6A) or the targeted mass table of an MRMHR method (Figure 6B). The intuitive features of SCIEX OS software allow rapid method creation and optimization to meet different needs during biotherapeutic characterization.

Figure 6. SCIEX OS software provides intuitive tools for method creation and optimization. The prebuilt method templates offered by SCIEX OS software allow easy creation of DDA (A) or MRMHR (B) methods using EAD. All the parameters, including those for EAD, can be conveniently set and reviewed on the same page. In an MRMHR experiment, different EAD parameters can be applied to the same precursor in the targeted mass table (B), enabling rapid method optimization to achieve optimal EAD data.

In summary, the data presented in this technical note demonstrates the ability of EAD to generate signature w ions (z-43 and z-29) for the Leu and Ile residues for confident sequence confirmation and isomer differentiation. The high sensitivity offered by the Zeno EAD enabled the identification and detailed elucidation of low-abundant SV peptides, especially those with the Val→Xle substitution. In this work, the detection of z-29 ions for the Val→Xle variants allowed the determination of the Xle residue as Ile instead of Leu. The EAD-based workflow described in this technical note can be leveraged for in-depth characterization of SVs to accelerate process development.

Conclusion
 

  • EAD enabled confident differentiation of Leu and Ile residues that are challenging to elucidate using traditional chromatographic or fragmentation techniques.

  • EAD produced the signature z-43 and z-29 fragments for Leu and Ile, respectively, leading to the confirmation of these 2 residues in peptides from biotherapeutics.

  • The ability of EAD to differentiate Leu vs. Ile and the high sensitivity of MS/MS detection provided by the Zeno trap allowed detailed elucidation of the Xle residue in 2 low-abundant Val→Xle variants of the VVSV peptide from NISTmAb and etanercept.

  • The Xle residue in 2 Val→Xle variants was determined to be an Ile instead of Leu based on the detection of a z-29 fragment by EAD.

  • While SCIEX OS software provides intuitive tools for the creation and optimization of DDA and MRMHR methods, Biologics Explorer software offers streamlined workflows for data processing and results review.

References
 

  1. Oleg Borisov et al. (2015) Sequence variants and sequence variant analysis in biotherapeutic proteins. State-of-the-Art and Emerging Technologies for Therapeutic Monoclonal Antibody Characterization Volume 2. Biopharmaceutical Characterization: The NISTmAb Case Study. Chapter 2:63-117.

  2. Aiming Zhang et al. (2020) A general evidence-based sequence variant control limit for recombinant therapeutic protein development. MABS. 12(1): e1791399.

  3. T. Jennifer Lin et al. (2019) Evolution of a comprehensive, orthogonal approach to sequence variant analysis for biotherapeutics. MABS. 11(1):1-12.

  4. Pilar Perez Hurtado and Peter O’Connor (2012) Differentiation of isomeric amino acid residues in proteins and peptides using mass spectrometry. Mass Spectrom. Rev. 31(6):609-625.

  5. Takashi Baba et al. (2021) Dissociation of Biomolecules by an Intense Low-Energy Electron Beam in a High Sensitivity Timeof-Flight Mass Spectrometer. J. Am. Soc. Mass Spectrom. 32(8):1964-1975.

  6. Comprehensive differentiation isomers from forced degradation by electron activation dissociation (EAD). SCIEX technical note, RUO-MKT-02-14730-A.

  7. An evaluation of single injection platform method for advanced characterization of protein therapeutics using electron activation dissociation (EAD). SCIEX technical note, RUO-MKT02-13965-A.

  8. Anna Robotham and John Kelly (2020) LC-MS characterization of antibody-based therapeutics: recent highlights and future prospects. Approaches to the Purification, Analysis and Characterization of Antibody-Based Therapeutics. Chapter 1:1- 33.