Sabarinathan P1, Lakshmanan D1, Chandrasekar M1, Manoj G Pillai1 and Jianru Stahl-Zeng2
 1SCIEX, India, 2SCIEX, Germany
A LC-MS/MS method for the determination of nitroimidazoles (metronidazole and ronidazole) in milk using SCIEX Triple Quad™ 3500 System was developed in combination with simplified sample preparation method. The method provides a detection capability of 0.5 ppb, easily meeting the requirements for the MRPL limits.

The extensive use of antibiotics in cattle ranching, poultry and other farming is of major concern, due to the potential impact of the increase in bacterial resistance and hypersensitivity on consumers. Studies have been carried out around the world to determine toxicity levels and establish minimum required performance limits (MRPL) for the various antibiotics.1 Nitroimidazoles (metronidazole, or MNZ and ronidazole, or RNZ) were used to treat a wide variety of anaerobic bacterial and protozoal infections in animal farming. A daily consumption of nitroimidazoles (NMZs), even at low concentration can cause carcinogenic and mutagenic effects. The use of nitroimidazoles for the treatment of live stock has been prohibited in several countries (such as the European Union, Canada, United States, and most Asian counties).3,4,5
Globally, a monitoring committee (Europeon commission, FSSAI has been established to check and analyze the samples before or after entering into the commercial market. Perishable animal products such as milk must also be tested, so they must be stored and analyzed as soon as possible. To overcome this issue, a simple extraction method with fast analyses of the samples is required, as the traditional methods can be time consuming and provide inaccurate results.
Here, an LC-MS/MS method for the determination of nitroimidazoles (metronidazole and ronidazole) in milk using the SCIEX Triple Quad™ 3500 LC-MS/MS System was developed in combination with a simplified sample preparation protocol.
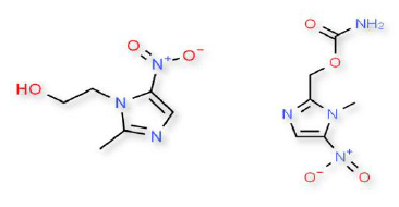
Figure 1. Structures of nitroimidazoles. Right - metronidazole, left - ronidazole
Chemicals: Metronidazole and ronidazole standards were purchased from Sigma Aldrich (≥99% purity). The LC-MS grade chemicals and solvents were used, which were commercially available in market. Standards were used to prepare the calibration curves in the extracted milk matrix from 0.5 to 20 ppb.
Milk samples: Milk samples were collected from local markets Delhi & Gurgaon, India and stored at 2−8 °C until end of the analysis.
Sample preparation:
LC conditions: LC separation was achieved using the Nexera XR system (Shimadzu) with a Phenomenex Luna C18 (2) 100 Ȧ (3.0×150 mm) 3 µm column. A 20 µL injection volume was used to inject the samples. See Table 1 for the gradient program.
MS/MS conditions: The SCIEX Triple Quad 3500 LC-MS/MS System was operated in multiple reaction monitoring (MRM) mode. The Turbo V™ Ion Source was used with an electrospray ionization (ESI) probe in positive polarity. Two MRM transitions were monitored for each of the nitroimidazoles using the Analyst® Software 1.6.2 (Table 2).
Data processing: Data was processed using and MultiQuant™ Software 3.0.2.
Table 1. Gradient profile and mobile phase composition.
Table 2. MRM transitions of metronidazole and ronidazole.
Chromatography was optimized for the nitroimidazoles in the extracted milk matrix. Metronidazole and ronidazole eluted at retention times of 1.97 and 2.25 min respectively, which was greater than the void volume. The calibration curves in milk matrix showed excellent linearity from 0.5 to 20 ppb, with a correlation coefficient r2≥0.99 for both using linear regression and weighing factor 1/X2. The LOD for the NMZs molecules was 0.25 ppb, where the %CV for both the molecules were less than 10% (n=06) in aqueous solution. The recovery at the MRPL (1.00 ppb) was found to be well within the limits as per the guidelines (90-110%). The SCIEX Triple Quad 3500 System was found to be capable of analyzing concentrations of NMZs well below the MRPLs as required by EIC.
All the samples collected from the different local markets were tested for any NMZs analytes and had no detectable amount of metronidazole and ronidazole using this assay.
Figure 2. Representative chromatography of metronidazole and ronidazole. The LC traces for the analytes in milk extract at 0.5 ppb are shown.
Table 3. Statistics pane for metronidazole. Linearity achieved for metronidazole in milk (0.5 to 20 ppb).
Table 4. Statistics pane for ronidazole. Linearity achieved for ronidazole in milk extract (0.5 to 20 ppb).
Figure 3. Calibration curves of nitroimidazoles. The calibration curves for four of the nitroimazoles is shown here, with a range between 0.5 to 20 ppb in milk extract. All curves r = ≥0.99
Figure 4. Chromatography of metronidazole. LC peaks from the calibration curve including the blank are shown for concentrations from 0.5 and 20 ppb in milk extracts. Reproducibility at the LOD of 0.25 ppb in aqueous samples was 5.89% CV (n=6).
Figure 5. Chromatography of ronidazole. LC peaks from the calibration curve including the blank are shown for concentrations from 0.5 and 20 ppb in milk extracts. Reproducibility at the LOD of 0.25 ppb in aqueous samples was 6.85% CV (n=6).
Here, a fast, simple method has been developed to quantify two nitroimidazoles drugs using the SCIEX Triple Quad 3500 System. A single simple extraction method was developed that works for both analytes from milk. The quantification limit for both metronidazole and ronidazole was 0.5 ppb which is below the MRPL concentration (1.00 ppb). Testing the method on samples obtained from local groceries confirmed the method was easy-to-implement and provided a routine solution for the quantification of nitroimidazoles in milk samples by LC-MS/MS.