button-id
Fanny Fu1 and André Schreiber2
1SCIEX, Taiwan; 2SCIEX, Canada
Download PDF
/content/dam/SCIEX/pdf/tech-notes/food-and-beverage/food-and-beverage/Food-Contaminants_Dicyandiamide-in-Milk_5500_RUO-MKT-02-12454-A.pdf
_blank
Abstract
Abstract
Introduction
Introduction
Methods
Methods
Sensitivity
Sensitivity
linearity
linearity
Extended
Extended
Application
Application
Conclusions
Conclusions
References
References
Abstract

Abstract

Here, a fast, accurate solution for the analysis of dicyandiamide and other nitrogen rich compounds in milk and other protein rich foods is demonstrated. The SCIEX QTRAP 5500 LC-MS/MS System provides excellent sensitivity and selectivity, with minimal sample preparation allowing maximized throughput. Automatic MRM ratio calculation in MultiQuant Software was used for compound identification.

#%23%23%23
image-top
Introduction

Introduction

Issues with adulteration of food using nitrogen rich compounds, to make the protein content of food appear higher than the actual value, highlight the need for both food manufacturers and regulatory agencies to utilize fast and accurate analytical techniques to proactively ensure product safety.

In 2007, melamine and cyanuric acid in wheat gluten added to pet food caused renal failure and sickened and killed large numbers of cats and dogs. In 2008, Chinese authorities discovered the adulteration of milk and infant formula with melamine by several Chinese producers. There were hundreds of thousands of victims and six confirmed deaths in China, as well as product recalls in many countries.1-4

In response to the melamine contamination, a large number of analytical methods were developed for the detection of melamine and its analogues, including several published by the United States Food and Drug Administration (FDA) that also targeted cyanuric acid.4-8

However, the Kjeldahl method, the traditional standard technique for measuring protein content by indirectly measuring the nitrogen content in food, remains the most widespread methodology. As long as protein content in food is not determined directly, economic adulteration with nitrogen rich compounds will continue to be a serious concern.

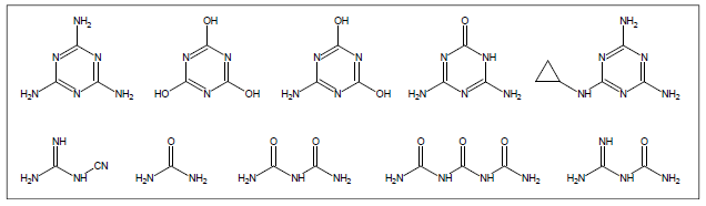
Analytical methods to detect potential adulterants (non-protein nitrogen sources), including amidinourea, ammelide, ammeline, biuret, cyanuric acid, cyromazine, dicyandiamide, melamine, triuret and urea (Figure 1) have been developed and validated to test milk products and bulk protein.4, 5

Figure 1.  Potential adulterants. Shown here are the structures of non-protein nitrogen sources, including melamine, cyanuric acid, ammelide, ammeline, cyromazine, dicyandiamide, urea, biuret, triuret and amidinourea (top left to bottom right).
#C0C0C0
image-top

Traces of dicyandiamide were found in milk produced in New Zealand pushing the milk producers and government agencies to move quickly to reassure there was no risk to health. Here, a fast, easy, and sensitive LC-MS/MS method using the SCIEX QTRAP® 5500 LC-MS/MS System was developed for the detection of dicyandiamide and other nitrogen rich compounds in milk and other protein-rich foods with limits of quantification down to low μg/kg.

Key features of the SCIEX QTRAP® 5500 System

  • Rapid, robust approachallows direct detection of food contaminants in protein rich food with simple sample preparation and fast chromatography
  • Targeted MRM workflow allows sensitive detection with high selectivity, reduced matrix effects and higher confidence inresults
  • MultiQuant™ Software enables enhanced confidence in results with quantification and identification based on MRM ratios, and powerful data mining tools for fast and efficient reporting
Methods

Methods

Sample preparation:  Simple liquid extraction of food samples was performed using the following procedure: 4

  1. Add 10 mL of acetonitrile containing 2% formic acid to 1 g of a homogenized sample.
  2. Mix thoroughly and sonicate for 10 minutes.
  3. Centrifuge for 10 minutes.
  4. Transfer an aliquot of 50 μL of the extract into an autosampler vial and dilute with 950 μL acetonitrile, resulting in a total dilution factor of 200.

Chromatography: The target compounds were separated using a normal phase gradient on a hydrophilic interaction chromatography (HILIC) column. LC separation was achieved using a high-flow LC system with a Phenomenex Luna HILIC 3µm (100 x 2 mm) column at a flow rate of 0.2 mL/min (Table 1). A sample volume of 10 μL was injected.

Table 1. LC gradient.
#C0C0C0
image-right

Mass spectrometry:  The SCIEX QTRAP 5500 LC-MS/MS System was used with the Turbo V™ Ion Source and an electrospray ionization (ESI) probe. The mass spectrometer was operated in multiple reaction monitoring (MRM) mode using fast switching between negative and positive polarity. Two selective MRM transitions were monitored for each analyte using the ratio of quantifier and qualifier ion for identification (Table 2). 13C315N3-melamine was used as an internal standard.

Data processing: LC-MS/MS data was processed using the MultiQuant™ Software.

Table 2. MRM parameters.
#C0C0C0
image-right
Sensitivity

Analytical sensitivity

First, the limit of detection (LOD) and reproducibility were evaluated using injections of dicyandiamide standards and spiked matrix samples. Figure 2 shows a chromatogram of dicyandiamide spiked into milk at 2 μg/kg with a signal-to-noise (S/N) ratio of 54 and 13 for the quantifier and qualifier ion, respectively.

Figure 2. LC-MS/MS chromatogram of dicyanamide.  2 μg/kg of dicyanamide was spiked into milk. A 200x dilution of the sample results in a final concentration in the extract of 0.01 ng/mL and a signal as shown, here.
#C0C0C0
image-right
linearity

Analytical linearity

Figure 3 shows calibration lines for dicyandiamide spiked into milk, extracted using the described procedure with a total dilution factor of 200x. Extensive dilution is recommended to accurately quantify the target analyte in matrix samples to minimize possible ion suppression effects which cannot be compensated using an internal standard. Coefficients of regression were determined to be greater than 0.997 for both transitions.

The MRM ratios calculated across the dynamic range for identification were found well in between the expected 25% tolerance of the standard ratio of 0.392. The MRM ratios were automatically calculated and reported using the ‘Multicomponent’ query in the MultiQuant Software.

Figure 3. Calibration lines for dicyanamide spiked into milk and analyzed after 200x dilution.
#C0C0C0
image-right
Extended

Extended analyte coverage

The method was extended to also detect otherknown potential adulterants. An example chromatogram isshown in Figure 4.Dicyandiamide (retention time, RT=2.0 min), melamine(RT=4.6 min), ammeline (RT=4.7 min) and ammelide (RT=4.8 min)were detected in positive polarity and cyanuric acid (RT=2.1 min)in negative polarity. The fast polarity switching of the QTRAP5500 System was used to detect dicyandiamide and cyanuricacid in a single run.

Figure 5 shows example calibration lines for melamine (positive polarity) and cyanuric acid (negative polarity). All calibration lines had r-values of greater than 0.998. Note that the spiked matrix contained traces (< 10 μg/kg) of cyanuric acid and the calibration line does not go through zero.

Figure 4. Quantification of five potential adulterants. This method highlights the quantification of 5 potential non-protein nitrogen sources in a single run using fast polarity switching with the QTRAP 5500 System.
#C0C0C0
image-right
Figure 5. Calibration lines for melamine and cyanuric acid spiked into milk and analyzed after 200x dilution.
#C0C0C0
image-right
Application

Application to milk samples

Milk samples were analyzed using the developed method and tested positive for dicyandiamide. The MRM ratio between the  quantifier and qualifier ion can be used for identification confirmation (Figure 6).

Figure 6. Milk samples tested positive for dicyandiamide. The MRM ratios between the two MRM transitions can be used for confirmation of compound identification.
#C0C0C0
image-right
Conclusions

Conclusions

The method and data presented here showcase the fast, easy, and accurate solutions for the analysis of dicyandiamide and other nitrogen rich compounds in milk and other protein rich foods by LC-MS/MS. The QTRAP 5500 System provides excellent sensitivity and selectivity for this analysis, with minimal sample preparation allowing maximized throughput for the analysis of many samples in a short time period. Dicyandiamide was quantified in milk samples. Automatic MRM ratio calculation in MultiQuant Software was used for compound identification.

References

References

  1. C.A. Brown  et al. (2007) Outbreaks of Renal Failure Associated with Melamine and Cyanuric Acid in Dogs and Cats in 2004 and 2007. J. Vet. Diagn. Invest.   19  525-531.
  2. H. Xin and R. Stone. (2008) Tainted Milk Scandal. Chinese Probe Unmasks High-Tech Adulteration with Melamine. Science   322  1310-1311.
  3. Y.C. Tyan et al. (2009)  Melamine Contamination. Bioanal. Chem395,  729-735.
  4. S. MacMahon et al. (2012) A Liquid Chromatography–Tandem Mass Spectrometry Method for the Detection of Economically Motivated Adulteration in Protein-containing Foods. J. Chromatogr. A.  1220, 101-107.
  5. S. Turnipseed. (2008) Determination of Melamine and Cyanuric Acid Residues in Infant Formula using LC-MS/MS. FDA LIB 4421 1-18.
  6. M. Smoker and A.J. Krynitsky. (2008) Melamine and Cyanuric Acid Residues in Foods. FDA LIB 4422 1-28.
  7. E. Braekevelt et al. (2011) Determination of Melamine, Ammeline, Ammelide and Cyanuric Acid in Infant Formula Purchased in Canada by Liquid Chromatography-Mass Spectrometry. Food Additives & Contaminants Part A Chem. Anal. Control Expo. Risk Assess28, 698-704.
  8. Method Validation and Quality Control Procedure for Pesticide Residues Analysis in Food and Feed. (2011), Document N° SANCO/12495/2011.