buttonwithtext

Using the QTRAP 6500+ LC-MS/MS System with SelexION® Technology and Elucidata Software

Darren Dumlao1, Tiago Alves2 and Richard Kibbey2
1
SCIEX, USA,  2Yale University, New Haven, USA

Download PDF
/content/dam/SCIEX/tech-notes/life-science-research/metabolomics/ruo-mkt-02-12698-a/MIMOSA-flux_DMS_6500__RUO-MKT-02-12698-A.pdf
_blank
Introduction
introduction
Methods
Methods
Flux analysis on T-cells
Flux
Data processing using El-Maven
Data
Polly LC-MS/MS labeled workflow
Polly
Phi – Flux calculations
Phi
Discussion
Discussion
References
references

Abstract

A targeted metabolomics experiment was performed using the MIMOSA workflow to showcase the utility of a targeted fluxomics approach to better understanding the dynamic metabolic changes that occur during T-cell activation.  Using the QTRAP 6500+ System with SelexION Technology and Polly software, high quality quantitative data is easily acquired and processed to track the flux through the glycolysis and TCA cycles.

introduction

Introduction

Fluxomics is a relatively recent application of mass spectrometry-based techniques that employs the use of stable labeled isotopes to trace how specific metabolites and molecules are metabolized through biological pathways. Commonly, 13C or 15N labeled precursor molecules are fed into a biological system and allowed to be metabolized for a given amount before the experiment is quenched. The experimental design can include a single time point once the system reaches a steady-state or a series of time points for a kinetic understanding of how the metabolites are changing over time. Unlike isotope labeling experiments, which mainly focus on the incorporation of labeled atoms into certain metabolites, the output of a flux experiment is a rate. A flux rate reveals details about how a biological system changes between 2 or more cohorts. For a metabolite with an increased enrichment of label, a flux rate can distinguish if this is due to the pathway speeding up and forming more product, or accumulation due to subsequent steps in the pathway slowing down. While fluxomics is a powerful technique in understanding the dynamic changes in metabolism, these experiments require an expert level of understanding of the pathways and are mathematically rigorous.

The Kibbey lab has developed a targeted fluxomics technique, designated M.I.M.O.S.A. (Mass Isotopomer Multi-Ordinate Spectral Analysis), which is focused on energy metabolism.1 The MIMOSA technique utilizes a targeted MRM-based method to understand each isotopologue as well as the position of the labeled carbon atoms. For separation of the glycolytic and TCA cycle intermediates, the method employs two 5-min LC gradients in conjunction with differential mobility separation. MIMOSA has been fully incorporated into the Polly software (Elucidata) with their LC-MS/MS labeled workflow. This automated workflow has removed the barriers and improved the rigor for fluxomics research.

Figure 1. Fluxes were mapped to central carbon pathways to summarize the metabolic changes that occur in response to T-cell activation. The pathway map was generated in the Polly LC-MS/MS labeled workflow (Elucidata). Red indicates increases in flux and green indicates decreases in activated T-cells.
#efefef
image-left

Key features of MIMOSA fluxomics

  • Uses the QTRAP® 6500+ System with SelexION® Technology for high sensitivity and specificity
  • Describes fluxes for glycolytic and TCA cycle intermediates for energy metabolism studies
  • Deconvolves the labeling patterns at the MS/MS level to measure positional enrichment
  • Experimental output calculates normalized rates, pathway directionality, and dynamic metabolic changes between cohorts
  • Polly software fully automates the data processing (natural abundance correction, absolute % enrichment, background correction, flux calculations) and data visualization which dramatically reduces the sample-to-graph time
  • Polly is flexible and customizable and is capable of handling other stable labeled isotopes
Methods

Methods

Sample preparation: A protocol detailing the isolation, culture, and activation of primary human CD4+ T-cells is described in Hiemer et al.4 Briefly, cells were unstimulated or stimulated with ImmunoCult. Cells were harvested and incubated with fresh cold media without glucose or glutamine (MP Biomedicals) that had been supplemented with sodium bicarbonate (3.7 g/L), 10 mM HEPES, 0.2% essentially FFA free BSA (Sigma), 0.05 mM sodium pyruvate, 4 mM glutamine, and 0.45 mM L-lactate for 1 h. Cells were washed with PBS and resuspended in 13C-glucose labeled media that consisted of 5.5 mM [U-13C6]-D-glucose (CLM-2001; Cambridge Isotopes). Cells were incubated in glucose labeling media for 4 h. Cells were subsequently washed with ice-cold PBS, and cellular metabolism was quenched with ice-cold 20% methanol in 0.1% formic acid supplemented with 10 µM d4-taurine (Cambridge Isotopes), 3 mM sodium fluoride (Sigma), 1 mM phenylalanine (Sigma), and 100 µ M EDTA. Cells were frozen in V-bottom plates (Bioexpress, Cat #T-3025-8B) and lyophilized overnight to dryness. Samples were resuspended in water and 2 µL were injected on column.

Chromatography: The M.I.M.O.S.A chromatography has been described in Alves et al.1 In short, glycolytic intermediates were analyzed using an Amino Acid 50 x 2.1 mm, 3 µm column (Imtakt) . The TCA cycle intermediates were analyzed using a Hypercarb 100 x 2.1 mm column (Thermofisher). The gradient conditions for both are described in Table 1.

Table 1. Chromatography gradients used.
#efefef
image-right

Mass spectrometry: MS analysis was performed on the QTRAP 6500+ System equipped with SelexION Technology and an IonDrive™ Turbo V Ion Source. The details of the MS experiments have been described in Alves et al.1 Briefly, the instrument parameters for the glycolytic intermediates experiment were the following: CAD 9, Curtain gas 30, IonSpray Voltage -3000, Temp 450, GS1 60, GS2 60, DMS modifier flow 250 µL/min, DMS temp low, SV 2200, DR off, DMS Modifier  2-propanol, DMS Modifier Composition low, Dwell 10 msec, Pause 3 msec. The instrument parameters used for the TCA cycle intermediates were: CAD 9, Curtain gas 30, IonSpray Voltage -3000, Temp 450, GS1 55, GS2 55, DMS modifier flow 325 µ L/min, DMS temp medium, SV 2600, DR open, DMS Modifier  2-propanol, DMS Modifier Composition low, Dwell 10 msec, Pause 3 msec.

Data processing: The output .wiff data files were converted to mzML using MSConvert (version 3.0.19172, Proteowizard). Peak alignment and integration were performed using El-Maven v0.12.0. Natural abundance correction, fractional enrichment, background correction, flux calculations, and graphical data visualization were calculated using Polly LC-MS/MS labeled workflow (Elucidata).

Flux

Flux analysis on T-cells

T-cells are known to employ a different metabolic program depending upon their activation state.2 While in their resting state, T-cells utilize B-oxidation of fatty acids as a major energy source. Once stimulated, T-cells exhibit the Warburg effect and switch to aerobic glycolysis producing increased amounts of lactate. The uptake of glucose, glutamine, and fatty acids from the exogenous environment is required for T-cells to rapidly divide and mount an immune response.3  Here, the steady state metabolic changes that occur in human T-cells 24 hours after activation was studied using a targeted MIMOSA fluxomic approach with SCIEX QTRAP 6500+ System equipped with SelexION Technology and the Polly platform for data processing and visualization.

Data

Data processing using El-Maven

Flux data acquired on QTRAP 6500+ System with SelexION Technology were converted to mzML to process in EL-Maven for peak alignment and peak integration. Alternatively, MultiQuant™ Software (SCIEX) could have been used for peak integration, then uploaded into Polly as a .csv file with the proper format. In Figure 2 (topl), M+2 glutamate (148/43) is used to showcase how the data are visually represented in a single plot with multiple overlaid traces. The bar graph on the right side denotes the peak area for each sample allowing for collective assessment of the data. Viewing the data in this manner allows for fast peak review, instead of the hundreds or thousands of mouse clicks performed when reviewing each scan independently. Importantly, manual integrations of the data can be performed as needed. El-Maven outputs processed data as a table that contains detailed information about MRM transitions, peak area, retention time, S/N, and number of peaks detected as how many are considered good peaks (Figure 2, bottom). This table is used to QC the data where the user can denote a detected metabolite as either good or bad with a checkmark or an X, respectively. The data can be automatically transferred to Polly using El-Maven’s upload to the cloud function which requires an active Polly account.

Figure 2. The output from Polly LC-MS/MS labeled workflow after natural abundance correction. Additional tabs include fractional enrichment data, background correction, and a merged table. All data can be easily exported as a .csv file.
#efefef
image-top
Polly

Polly LC-MS/MS labeled workflow

The required files for workflow include a peak areas file (El-Maven output), a metadata file detailing the metabolites detected (molecular formula, fragment, isotope label), and a sample metadata file that denotes which cohort each sample belongs to for comparison. After the files are uploaded, the user can access the NA correction tool to perform the natural abundance correction. Natural abundance correction involves numerous calculations that considers the natural occurrence of the isotope (13C = 1.1%), the number of carbons in the parent molecular and resultant fragment with all the possible labeling combinations. Setting up these calculations is laborious, time consuming, and the introduction of user error at this step is quite common. In contrast, with this automated workflow, natural abundance is calculated with a single mouse click (Figure 3).

Figure 3. The output of stable isotope enrichment results calculated using Polly LC-MS/MS labeled workflow Phi (Beta).
#efefef
image-top
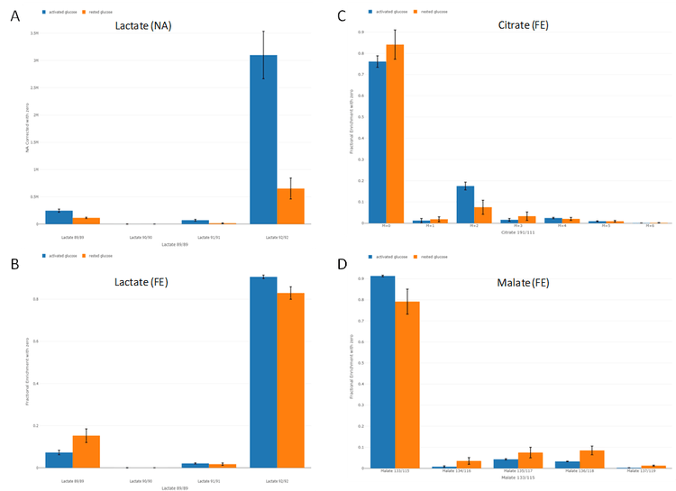
In addition, the workflow also calculates the fractional enrichment of metabolite species and performs a background correction. The embedded search function allows the table to be filtered to only display the desired metabolite. The data can be represented graphically using the built-in visualization tools, Figure 4 shows the natural abundance corrected data for lactate. The natural abundance corrected data (represented as peak area, Figure 4A) for lactate and its isotopologues show that all isotopologue species have increased in activated T-cells (blue) compared to rested T-cells  (orange). The fractional enrichment data (represented as the percentage of total lactate pool) show similar amounts of M+3 species between activated and resting T-cells (Figure 4B). An increased relative flux from glucose through lactate is suggested in activated T-cells by the lower dilutions from other non-labeled pathways. Further examination of the fractional enrichment profile of TCA intermediates show complex labeling patterns (Figure 4C and D). Citrate has an increased amount of 13C incorporated into the M+2 species in general but there is more dilution between citrate and malate in activated T-cells indicating. While these data are suggestive of different utilization patterns of citrate, a more definitive interpretation requires the interpretation of positional enrichment differences between precursor and product metabolites  (see below). All the data (tables and graphs) can be easily exported in a .csv or .png picture file, respectively. This fully automated workflow removes the time consuming rigorous manual labor involved in processing these types of experiments.
Figure 4.  Visualization of natural abundance correction (NA) and fractional enrichment (FE). Representative graphs using Polly’s built-in visualization tools for natural abundance correction (NA) and fractional enrichment (FE) in activated (blue bars) and rested (orange bars) T-cells. (A) depicts the natural abundance corrected isotope profile for lactate. The data is reported as average peak area. (B, C, and D) are the fractional enrichment plots for the isotope profiles of lactate, citrate, and malate, respectively. The data is reported as % of total metabolite pool. Each cohort had an n value = 6.
#efefef
image-top
Phi

Phi – Flux calculations

Once the data is corrected for naturally occurring isotopes, the individual flux rates (Phi or f) can be calculated. This is accomplished in the Polly Phi (Beta) tab that contains three subtabs: Calculate Phi, Results: Glucose Labeled, and Results: Generic Labeled. The Calculate Phi tab is used to define the labeled isotopes used and to display the different cohorts. Also, Polly offers customizable options for metabolites with different labeling schemes and fragmentation patterns. The two results tabs display the phi values in table and graph form for glucose and generic (used for other labeled precursors like glutamine), respectively.

In this fluxomics experiment, only uniformly 13C labeled glucose ([U-13C6]-D-glucose) was used. Figure 5 depicts the results for the glucose labeled output with the different phi values (rows) for each sample (columns) listed. Here 45 individual phi values and positional isotopomers were calculated when using [U-13C6]-D-glucose as the tracer  and these can be expanded to include others by user. Polly has built-in visualization tools to graphically display the flux data. Representative graphs with the expression formulas are shown to highlight the changes in metabolic flux between activated and rested cells (Figure 6). Activated T-cells were observed to have a 2.5-fold increased enrichment in  the  pyruvate dehydrogenase (PDH) derived carbons of citrate (Figure 6A) despite only  a slightly  greater enrichment in lactate (Figure 4B). This identifies a greater contribution of carbohydrate oxidation to overall TCA flux in  the activated cells. In contrast, there is a 70% greater loss  of 13C enrichment between Acetyl CoA (carbons C1,2) and those same carbons in glutamate (C4,5,  Figure 6C). The same observations made by an independent calculation quantitatively validated this dramatic finding (Figure 6B). To represent the data in a biological context, metabolic flux changes that occurred in response to T-cell activation were mapped to central carbon pathways (Figure 1). Representing the data in this fashion can be useful for understanding metabolic changes, nutrient utilization, and pathway directionality.

Figure 5. Phi results for TCA cycle calculated from MIMOSA deconvolved isotopomers from [U 13C6]-D-glucose tracer labeling of T-Cells  in  Polly Phi (beta). Shown are 10 of the 45 Phi calculations (identifier column) for the different T-Cell samples. Individual mathematical descriptions of the  different Phis shown in a different tab (see Figure 6). Data from individual samples (identifier descriptions provided) are shown as fractional values (multiply x 100 for percent).
#efefef
image-top
Figure 6. Representative graphs using Polly’s built-in visualization tools for calculated fluxes (Phi values) for activated (blue) and rested  (red) T-cells. (A) A greater enrichment in the pyruvate dehydrogenase (PDH) derived carbons of citrate was observed in activated T-cells. The next segment of the TCA cycle showed the opposite, namely there was a greater entry of glutamate carbon (via GDH or transamination pathways) in activated T-Cells as demonstrated by  two independent calculations from citrate to glutamate (B) Phi_Cit_Glut and from Acetyl-CoA to citrate to glutamate (C) Phi_AcCitG, respectively. Each cohort had an n = 6.
#efefef
image-top
Discussion

Discussion

T-cells undergo a metabolic reprogramming when activated by a stimulus event. Using [U-13C6]-D-glucose, these metabolic changes were assessed after 24 hours of activation. An elevated flux of glucose through glycolysis (compared to other pyruvate generating fluxes) was observed in activated T-cells with the accumulation of 13C-carbon in lactate. The dependence on glycolysis, which can rapidly generate energy, is thought to be in response to the cell’s accelerated growth in mounting an immune response. Glucose was also utilized to generating citrate via PDH  by  a greater extent, but reduced label incorporations were seen in other TCA cycle intermediates and metabolites (malate and glutamate). One explanation of this observation is that a dilution of 13C-carbon is occurring after citrate. Consistent with  this, it has been reported that activated T-cells exhibit increased uptake of exogenous glutamine. Unlabeled glutamine could be responsible for the observed dilution entering the TCA via glutamate to a-ketoglutarate exchange. A flux experiment using labeled glutamine (for instance, [1,2-13C]-L-glutamine) would be needed to provide an orthogonal confirmation.

This experiment was used to showcase the utility of a targeted fluxomics approach to better understand the dynamic metabolic changes that occur during T-cell activation. The sensitivity and speed of the QTRAP 6500+ System enabled the highest quality data to be collected for the 100+ MRMs within the method. The orthogonal separation of the SelexION Technology was instrumental in separating many of the isobaric compounds in glycolysis and the TCA cycle.

The Polly LC-MS/MS labeled workflow removed many of the barriers and bottlenecks associated with processing fluxomic data. This was accomplished by streamlining the processing from peak integration to natural abundance correction. In addition to reducing data processing time, the automated workflow eliminated user derived errors commonly associated with multi-tab spreadsheets. Another positive feature of Polly is the visualization tools. Comparisons between different cohorts can quickly be selected and graphed. The data and graphs are easily exported for use in manuscripts, posters, or presentations. The reducing the time from sample to graph allows the user to spend more time in understanding the biological impact of their experiment.

references

References

  1. Alves, TC et al. (2015)  Integrated, Step-Wise, Mass-Isotopomeric Flux Analysis of the TCA Cycle. Cell Metab. 22, 936-947.
  2. Geltink, RIK, Kyle, RL, & Pearce. (2018) Unraveling the Complex Interplay Between T Cell Metabolism and Function. Annu. Rev. Immunol. 36, 461-488.
  3. van der Windt, GJW & Pearce, EL (2012) Metabolic switching and fuel choice during T-cell differentiation and memory development. Immunol. Rev. 249, 27-42.
  4. Heimer S et al. (2019) Integrated Metabolomic and Transcriptomic Profiling Reveals Novel Activation-Induced Metabolic Network in Human T cells. Pre-publication.
  5. SelexION Technology: A New Solution to Selectivity Challenges in Quantitative Analysis. SCIEX technical note RUO-MKT-02-3251-A.