buttonwithtext

J.C. Yves Le Blanc1, Jenny Albanese2, Holly Lee1, David M. Cox1, and Patrick Pribil1
1
SCIEX Canada; 2SCIEX U.S.A.
Download PDF
/content/dam/SCIEX/pdf/tech-notes/life-science-research/MKT-33084-A_TN_ScoutTriggeredMRM_Evosep_QQQ7500_FINAL3_20241029.pdf
_blank
Abstract
abstract
Key features of scout triggered MRM for peptide quantitation
results1
Introduction
introduction
Methods
results2
Scout triggered MRM method development
results3
Testing multiple scout triggered MRM method development approaches
test
Conclusion
conclusion
References
references
abstract

Abstract

This technical note describes the application of scout triggered multiple reaction monitoring (stMRM) for high throughput peptide quantitation on the SCIEX Triple Quad 7500 system. The stMRM workflow uses marker MRM transitions to trigger subsequent MRM acquisition of groups of later-eluting dependent transitions. stMRM aids in overcoming retention time shifts and enables longer dwell times in assays with significant numbers of concurrent analytes. Using a single stMRM acquisition method, 304 scheduled MRM transitions from 119 peptides were successfully monitored across a range of chromatographic gradients using the Evosep One system, ranging in throughput from 60 to 500 samples per day (SPD). This work demonstrates the utility of stMRM for reliable peptide quantitation across dynamic chromatographic conditions and changing retention times, thereby greatly simplifying the quantitation of large analyte panels.

results1

Key features of scout triggered MRM for peptide quantitation

  • Maintain high data quality with changing chromatographic conditions: stMRM enables seamless adaptation of MRM methods to different LC gradient lengths and maintains MRM scheduling efficiency despite shifts in LC peak retention times
  • Unlock peak quantitative performance of the SCIEX Triple Quad 7500 system: Using stMRM, the industry-leading sensitivity of the Triple Quad 7500 system is maximized for large-panel quantitative MRM methods
  • Ultra-high throughput peptide quantitation: Using a single stMRM method, 304 MRMs from 119 peptides were successfully monitored at various throughputs up to 500 SPD using the Evosep One system
Figure 1. Scout trigged MRM (stMRM) analytical concept. stMRM uses a marker transition to trigger MS analysis for a group of dependent target analytes. These marker transitions are typically staggered across the chromatographic run, and dependent analytes are associated based on their retention times. The outcome is a targeted assay that is robust to retention time shifts. The table on the right shows the variations in gradient lengths and different flow rates with Evosep One methods used in this study (60 to 500 SPD)
#efefef
image-left
introduction

Introduction

MRM methods on triple quadrupole mass spectrometers are well accepted for quantitative assay performance based on their sensitivity, selectivity and robustness. MRM methods offer the highest duty cycle and the ability to measure large numbers of multiplexed analytes. The number of monitored analytes can be significantly increased by scheduling the analysis and acquiring MRMs during a narrow window around the expected LC retention time (RT). This concept, referred to as scheduled MRM, requires reproducible and stable LC conditions for all analytes1. Fluctuations in LC retention times or the migration of methods to different LC gradient lengths necessitate the adjustment of analyte RTs for proper scheduling. Correction of deviating retention times for LC-MS methods monitoring large numbers of transitions requires additional sample and method development time. In this work, the utilization of scout triggered MRM (stMRM) is described to help mitigate these challenges for the quantitation of peptides2-4. With stMRM methods, specific marker analytes across the LC active gradient separation space are assigned to different groups of additional MRM transitions based on their LC elution order (Figure 1). Each marker analyte automatically triggers the acquisition of its associated MRMs once the signal from a marker transition exceeds a designated threshold. In this work, the utility of stMRM is demonstrated for monitoring >300 MRM transitions from >100 Chinese hamster ovary (CHO) peptides, using 20 synthetic stable isotope-labeled peptides as markers. All CHO transitions were successfully monitored using a single MRM method on the Triple Quad 7500 system across a range of Evosep One system LC methods from 60 to 500 SPD5. The results presented here demonstrate that the stMRM workflow enables the development of methods that are robust to RT shifts and easily transferrable across different gradient lengths, simplifying method development by minimizing both the time and sample needed for RT refinement.

results2

Methods

Sample preparation: A series of 119 peptides uniquely identified from CHO cell line trypsin digest were custom synthesized and used as representative peptides to be quantified. Multiple MRM transitions were chosen for each peptide (304 total) to ensure proper peptide detection. Bovine serum albumin (BSA) was purchased from Sigma Aldrich and digested with trypsin. A mixture of 20 isotopically labeled peptides (PepCalMix, SCIEX) and digested BSA were spiked into the CHO peptide background. LC-MS injections consisted of a final on-column mixture of 200 fmol CHO peptide mix, 50 fmol BSA digest and 50 fmol PepCalMix.

Chromatography: LC separation was performed on an Evosep One system using 60, 100, 200, 300 and 500 SPD methods (corresponding to elution gradients of 21, 11.5, 5.6, 3.2 and 2.2 minutes, respectively), following documented protocols5. Separations at 60 and 100 SPD were done using an EV1119 column (8 cm x 150 µm, 1.5 µm particle size), while separations at 200, 300 and 500 SPD were done using an EV1107 column (4 cm x 150 µm, 1.9 µm particle size. Mobile phases (pre-mixed, from Burdick & Jackson) consisted of 0.1% formic acid in water and 0.1% formic acid in acetonitrile.

Mass spectrometry: Analysis was performed on a SCIEX Triple Quad 7500 system using the OptiFlow Pro Ion Source fitted with a microflow probe (1-50 µL/min), microflow electrode (1-10 µL/min) and microflow E Lens.

Data processing: All data was processed using SCIEX OS Explorer software.

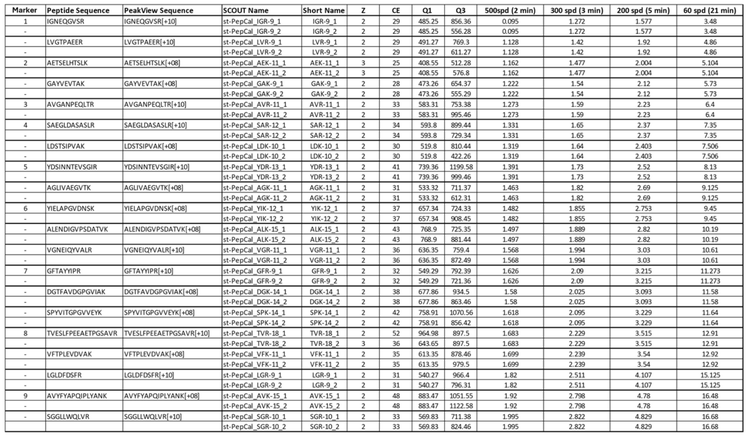
Table 1. Utilization of PepCalMix peptides as markers for scout triggered MRM. The table outlines the MRM transitions used for the PepCalMix peptides and their observed retention times using the 60, 200, 300 and 500 SPD Evosep One methods. Of the 20 PepCalMix peptides, 9 were chosen as markers for the subsequent experiments.
#efefef
image-bottom
results3

Scout triggered MRM method development

PepCalMix was chosen as the marker analytes for the development of an stMRM method due to their intrinsic desirable properties: they are not naturally occurring and share no sequence homology with any CHO peptides, they elute in a defined order across the full RT range with typical reverse phase-based peptide elution gradients, and they readily fragment with collision-induced dissociation to yield intense MS/MS fragment ions. Starting with the 60 SPD separation method, the RTs of the 20 PepCalMix peptides and the 119 CHO peptides were determined across the 21- minute active gradient using an unscheduled MRM method. Figure 2 shows the order and RT for the PepCalMix peptides at 60 SPD. The sample was also run in unscheduled MRM mode with the 200, 300 and 500 SPD separations. The results for PepCalMix are summarized in Table 1. Robust separation was demonstrated with no shifts in the PepCalMix peptide elution order.

Figure 2. Elution order and retention time for PepCalMix peptides using the 60 SPD Evosep One method. Orange diamonds highlight PepCalMix peptides selected as markers.
#efefef
image-top
From the 20 PepCalMix peptides, 9 were chosen as markers and associated subsets of CHO peptides (15 to 64 MRMs, on average 30 MRMs) were grouped with each of these markers. The PepCalMix markers were selected to provide intervals of 1–1.5 minutes across the active gradient at 60 SPD. Intensity thresholds for the markers were set to trigger the MRM scans for the dependent target transitions within the respective stMRM groups. MRM dwell and pause times were set to 2 msec. For the largest CHO peptide group, the total cycle time was 256 msec, and on average, the total cycle time across stMRM groups was 120 msec. For the 500 SPD method (using a 2.2-minute active gradient), the average LC peak width at baseline was approximately 2 seconds. Therefore, chromatographic peaks contained approximately 16 data points on average.
test

Testing multiple scout triggered MRM method development approaches

The stMRM workflow relies on RT values for the markers, which need to be within the total acquisition time of the method. Two different stMRM methods were evaluated during method development. The first method utilized the RT values from the markers as determined experimentally using the shortest 500 SPD method (2.2-minute active gradient). The second approach involved multiplying the RT values determined from the 60 SPD method (21-minute active gradient) by 0.1, thus scaling the chromatography to 2.1 minutes. As a proof-of-concept, both methods were subsequently tested at 200 SPD separation. The results are summarized in Figure 3: using both stMRM methods, all 304 MRMs from all 119 peptides were scheduled correctly and detected.

Figure 3. Scout trigged MRM (stMRM) analysis of 304 CHO peptide MRMs (from 119 CHO peptides) at 200 SPD with two different stMRM methods. (A) Analysis using an stMRM method developed with marker peptide retention times determined experimentally using a 500 SPD method. (B) Analysis with an stMRM method developed using marker peptide retention times determined from a 60 SPD method, then scaled down 10x to fit into the acquisition time for a 500 SPD method. The left panes show the overlaid XICs for all 304 MRMs in the method. The middle panes show the XICs of an example CHO peptide GLLVYQGK (y4, y5 and y6 fragment ions overlaid). The right panes show a heatmap view of all the detected MRM transitions. With either stMRM method, all MRMs were scheduled correctly and detected, thereby highlighting that stMRM methods are robust and scalable to different LC gradient lengths.
#efefef
image-top
The stMRM method developed from the scaled-down RTs determined experimentally at 60 SPD was tested again at 200 SPD and also at 300 and 500 SPD. The results are summarized in Figure 4. In all cases, all 304 MRMs from all 119 peptides were scheduled correctly and detected. Representative extracted ion chromatograms (XICs) from an example CHO peptide (the y4, y5 and y6 fragment ions from peptide GLLVYQGK) are overlaid for the different SPD methods. The number of data points per peak ranged from 8 to 11 across these different gradient lengths. Having sufficient data points across the chromatographic peak is essential for data quality. Figure 5 compares the number of data points for the XICs of this representative peptide at 200, 300 and 500 SPD for both the stMRM experiment and one without MRM scheduling. With the non-scheduled MRM experiment, the XICs for most peptides had only 1 data point, significantly impacting quantitative results.
Figure 4. Scout trigged MRM (stMRM) analysis of 304 CHO peptide MRMs (from 119 CHO peptides) at (A) 200 SPD, (B) 300 SPD and (C) 500 SPD. The stMRM method used 9 PepCalMix peptides as markers, developed with marker peptide retention times determined from a 60 SPD method, then scaled down 10x to fit into the method time for a 500 SPD method. The left panes show the overlaid XICs for all 304 MRMs in the method. The middle panes show the XICs of an example CHO peptide GLLVYQGK (y4, y5 and y6 fragment ions overlaid), with the peak width at half-height (FWHH) and number of data points per peak indicated. The right panes show a heatmap view of all the detected MRM transitions, scaled to the 2.1-min 500 SPD method. All 304 MRMs were scheduled correctly and detected with all throughput methods, showing that stMRM methods are easy to build and scalable to different LC gradient lengths.
#efefef
image-top
Figure 5. XIC traces for CHO peptide GLLVYQGK at 200, 300 and 500 SPD, comparing scout triggered MRM (stMRM) and non-scheduled MRM methods. XICs show overlays of the y4, y5 and y6 fragment ions. stMRM improves the number of data points per peak, improving the quality of quantitative MRM data. By comparison, using a non-scheduled MRM method, most of the CHO peptides in the panel had only 1 or 2 data points, especially for the faster throughput methods.
#efefef
image-top
conclusion

Conclusion

  • A single scout triggered MRM method enabled the detection of all 304 scheduled MRMs from 119 CHO peptides across several Evosep One methods ranging from 60 to 500 SPD
  • Scout triggered MRM methods can be set up either through empirically determined or theoretically extrapolated analyte retention times for application to alternate gradient lengths
  • Utilizing the scout triggered MRM workflow enables proper MRM scheduling, enhancing chromatographic peak shape and data quality to maximize quantitative results
references

References

  1. The Scheduled MRM Algorithm Pro. SCIEX technical note, RUO-MKT-02-8539-A.
  2. Scout triggered MRM algorithm: The evolution of the MRM workflow. SCIEX technical note, RUO-MKT-02- 14731-A.
  3. Ayciriex S et al. (2020) Streamlined Development of Targeted Mass Spectrometry-Based Method Combining Scout-MRM and a Web-Based Tool Indexed with Scout Peptides. Proteomics, 20, 1900254.
  4. Brunet T et al (2023) Scout triggered multiple reaction monitoring mass spectrometry for the rapid transfer of large multiplexed targeted methods in metabolomics. J. Chromatography, 1228, 123849.
  5. Flexibility, speed, and throughput for high proteome coverage using Zeno SWATH data-independent acquisition (DIA) coupled with the Evosep One system. SCIEX technical note, RUO-MKT-02-15461.