buttonwithtext
Reproducible EPA Method 537 results with increased sensitivity on SCIEX Triple Quad™ 6500+ System

Karl A. Oetjen, Diana Tran, Simon C. Roberts, Craig Butt and Christopher Borton
SCIEX, USA
Download PDF
/content/dam/SCIEX/tech-notes/environmental-industrial/water-and-soil/ruo-mkt02-11534-a/MicroflowLC-for-Method-537-PFAS_6500%2B_RUO-MKT-02-11534-A.pdf
_blank
Abstract
abstract
Introduction
introduction
Methods
Methods
Asymmetry and quality control parameters
Asymmetry
Robustness
Robustness
Sensitivity
Sensitivity
Sample analysis
Sample
Conclusions
conclusion
References
references
Related content
Related
abstract

Abstract

Combining microflow chromatography with SCIEX Triple Quad 6500+ System provides ultimate sensitivity for PFAS compounds in drinking water and soils.  This application note describes the configuration and provide data on robustness and sensitivity. Sensitivity gains over high flow chromatography were demonstrated.

introduction

Introduction

Per- and polyfluoroalkyl substances (PFASs) are manmade compounds containing carbon-fluorine monomers.1 Per- and polyfluorinated compounds are chemical compounds that have all the hydrogens on the carbons replaced by fluorine.1 The abundance and strength of the C-F bonds make natural degradation of these compounds in the environment extremely difficult, while also making them highly resistant to degradation from acids, bases, oxidants, and heat.1,2 The overwhelming presence of PFASs in drinking water systems and in humans has motivated the United States Environmental Protection Agency (U.S. EPA) to monitor fourteen PFAS compounds, including PFOA and PFOS, in drinking water in Method 537.3

The U.S. EPA advisory level of PFOA and PFOS combined is 70 ng/L in drinking water, however, some studies have suggested this level might be 100-fold too high.4 This new research has influenced some states, like Vermont, to impose or suggest lower acceptable limits. In 2016, Vermont adopted an advisory level of 20 ng/L for PFOA and PFOS combined, with other states like Minnesota, New Jersey, and Michigan following suit with their own levels. As water system operators take appropriate steps, and the suggested PFAS concentration limits continue to decrease, more sensitive and robust analytical methods are needed.

This application note presents a microflow method for the analysis of EPA Method 537 on the SCIEX Triple Quad™ 6500+ LC-MS/MS System coupled with an OptiFlow® Turbo V Ion Source and a M5 MicroLC System. Due to the fact that EPA Method 537 requires samples be prepared in 96:4% (vol/vol) methanol/water, this study also utilizes an online mixing strategy using an analytical conduit adapter (AnaCondA). This approach prevented peak shape distortion and splitting in microflow chromatography due to lower flow rates and smaller column diameters.

Figure 1. Microflow LC setup with analytical conduit adapter (AnaCondA) for sample mixing in sample flow path.
#efefef
image-left

Key Features of microflow chromatography for EPA Method 537 analysis of PFAS

  • Robust microflow method showing precision and accuracy at low ppt levels
  • Peak symmetry passes for all analytes according to EPA Method 537 up to 8 µL injection volume of 96% methanol using analytical conduit adapter (AnaCondA)
  • Reagent cost deduction compared to analytical methods
  • No manual manipulation of optimal probe position needed for microflow analysis using the OptiFlow Turbo V Ion Source
  • Sensitivity gains of 2-24x across all EPA Method 537 compounds using microflow compared to traditional LC flow rates
Methods

Methods

Sample preparation: Sample preparation and data processing were carried out according to EPA Method 537. An additional 1/10 dilution was then performed. A total of 20 samples were extracted out of a variety of matrices, including drinking water, groundwater, wastewater, and soil extracts. The internal standards (ISTD) used were 13C2-PFOA, 13C4-PFOS, and d3-NMeFOSAA. The surrogates used were 13C2-PFHxA, d5-NEtFOSAA, and 13C2-PFDA. The complete sample set, including calibration and quality control samples, was run on 3 separate days.

Chromatography: The microflow analysis was performed using an M5 MicroLC System at a flowrate of 10 µL/min. A Gemini C18 3 µm, 100 x 0.3 mm column (Phenomenex) was used. This column uses the identical stationary phase, but smaller internal diameter as the high flow method.5 Mobile phases A and B were Milli-Q water with 10 mM ammonium acetate and J.T.Baker Ultra LC-MS grade methanol with 10 mM ammonium acetate, respectively (Table 1).

Table 1. MFLC gradient for microflow EPA Method 537 analysis.
#efefef
image-right

A novel online AnaCondA mixer was placed upstream of the analytical column to promote mixing (Figure 1). This approach works through increasing the Reynolds number (Equation 1) and promoting turbulence, therefore creating more mixing.

Typically, the high injection solvent strength required by EPA Method 537 causes excessive breakthrough and peak splitting, even with a 1 µL injection volume (Figure 2a). To prevent this from occurring, online mixing was promoted using an AnaCondA with a wide internal diameter (ID) of 0.5 mm and length of 5 cm after the sample loop as shown in Figure 1. In addition to the AnaCondA, a faster sample injection speed was performed to increase the mixing turbulence. This allowed the injection volume to range between 1 – 10 µL without breakthrough or peak splitting (Figure 2b). The data shown in this application note was generated using a 4 µL injection volume, to represent a traditionally monitored concentration range.

Equation 1. Reynolds Number equation.
#efefef
image-right
Figure 2. Advantage of using the online analytical conduit adapter mixer for microflow PFAS analysis. (Top) Example chromatograms of PFBS and PFHxA using direct injection without mixing with microflow chromatography. (Bottom) Same microflow chromatography with online mixing using the AnaCondA.
#efefef
image-left

Mass spectrometry: The sample was injected into the SCIEX Triple Quad 6500+ System equipped with a OptiFlow Turbo V Ion Source that was designed specifically for lower flow rates. The optimized source conditions can be found in Table 2.

All analytes were monitored in multiple reaction monitoring (MRM) scan mode in negative polarity. The Scheduled MRM™ Algorithm was used to monitor compounds during a 60 second expected retention time window to maximize dwell times and optimize the cycle time of the method.

Data processing: Results were processed in SCIEX OS Software 1.7. Peak asymmetry and ion ratios were automatically calculated using custom columns. All calibration curves had a 1/x concentration weighting and were forced through the intercept as specified in EPA Method 537.

Table 2. OptiFlow Turbo V Ion Source settings for microflow EPA Method 537 analysis.
#efefef
image-right
Asymmetry

Asymmetry and quality control parameters

In EPA Method 537, peak asymmetry must fall in the range of 0.8 to 1.5 for the first two eluting compounds (PFBS and PFHxA). Using the outlined method, PFBS and PFHxA met all asymmetry requirements with values ranging from 1.0 to 1.2 (Table 3) at all the quality control concentration levels. Additionally, the ion ratios for both PFBS and PFHxA were within ±20% and the calculated concentration was within 5% of the expected value.

Table 3. Asymmetry and quality control parameters at different continuing calibration check concentration levels for PFBS and PFHxA.
#efefef
image-right
Robustness

Robustness

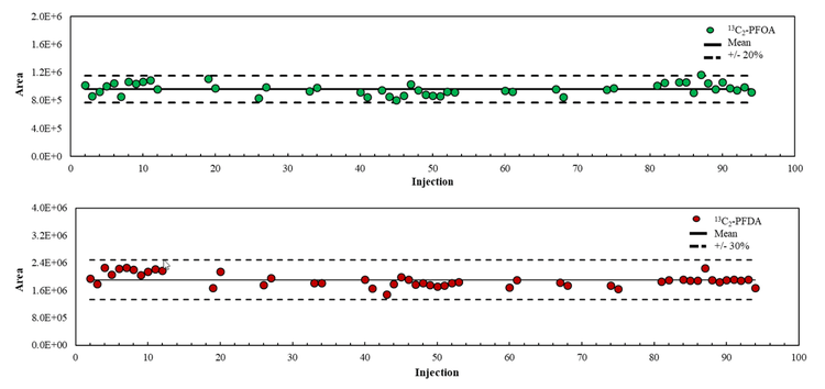
Microflow LC has been widely used in the pharma and biopharma applications but has infrequent use in environmental applications. To ensure ruggedness of both the method and analysis, calibration curves were generated, then drinking water and soil samples were acquired in triplicate over 3 separate days. To evaluate whether suppression is occurring throughout calibration curve process, the ISTDs areas were plotted over the 3 day run for all calibration and quality control samples (Figure 3, top). The mean ISTD area was calculated and all collected data points fell within ±20%, suggesting no major suppression was occurring. The surrogate concentrations were also plotted over the 3 day run and found to be within the acceptable ±30% outlined in EPA Method 537 (Figure 3, bottom).

The normalized area of the ISTDs was compared for all extracted samples (Figure 4). The median normalized area for 13C2-PFOA was 98%, with the lowest response at 71% and the highest at 125%. All values were within ±30%, suggesting no major ion suppression or enhancement is occurring. The median normalized surrogate area for 13C2-PFDA was 101%, with the lowest value of 82% and the highest of 120%, thus indicating acceptable recovery during extraction the recovery of this compound during the extraction process is acceptable.

Figure 3. Reproducibility of data. 13C2-PFOA (used as an internal standard, top) and 13C2-PFDA (used as a surrogate, bottom) in the analysis were plotted for all standards, QC’s and blanks.
#efefef
image-top
Figure 4. Normalized areas of A. the internal standard 13C2-PFOA and B. the surrogate 13C2-PFDA in all processed samples.
#efefef
image-top
Sensitivity

Sensitivity

The 9 or 10-point calibration curve exhibited good accuracy within +/- 30% of the expected values for all points, accuracy within +/- 50% for the lowest calibrator, and R2 coefficients of >0.990 (Table 4). The lower limit of quantification (LLOQ) varied between 1 and 5 parts per trillion (ppt) in vial, equating to 0.04 and 0.2 ppt in the sample before extraction (Table 4; Figure 5). If further sensitivity was needed, a larger injection volume (up to 2.5x larger) could be performed.

The sensitivity between the presented microflow LC method and traditional flow method 5 using a 4 µL injection was compared. This comparison was made by dividing the signal to noise (S/N) for the compound using the microflow LC method by the S/N of the compound using the traditional flow method. This ratio was measured at the lowest point of the calibration curve in the traditional flow data. The lowest point of the traditional flow data was used because the microflow LLOQ was significantly lower. Comparing sensitivity gains from the current microflow method to high flow, all PFAS compounds showed improved sensitivity from the smaller flow rates. The exact change in peak signal intensity varied across the panel largely due to individual analyte properties (data not shown). However, the sensitivity gains ranged from 2.2 for PFOS to 24.2 for PFTeDA.

Table 4. The LOQ in of EPA 537 PFAS components in vial and in the extracted sample.
#efefef
image-right
Figure 5. Example LLOQ chromatograms. PFBS (left column) and PFUdA (right column) showing a laboratory reagent blank (LRB), 1 ppt and 5 ppt standards.
#efefef
image-top
Sample

Sample analysis

Various PFAS compounds were detected in the 20 analyzed samples. The compound most frequently present in the samples above the LLOQ was PFBS, which was found in 16 of the 20 samples (Figure 6). The concentrations of PFBS ranged from 0.5 to 44.8 ppt in the samples before extraction. PFOS was the second most detected compound, present in 8 of 20 samples, with concentrations ranging from 1.9 ppt to above the ULOQ (>100 ppt in the sample.

Figure 6.  PFBS chromatograms in extracted samples.  The concentrations of PFBS ranged from 0.5 to 44.8 ppt in the samples before extraction.
#efefef
image-top
conclusion

Conclusions

A sensitive and robust method was developed for microflow analysis of the analytes in EPA Method 537. The assay showed reproducibility of internal standards, surrogates, and calculated concentrations of unknown environmental samples over multiple days. The increase in sensitivity in this study enabled LLOQs of 1-5 ppt for EPA Method 537 with a 4 µL injection volume. A larger injection volume, enabled by the AnaCondA mixing approach, would allow for even lower LLOQs if necessary.

references

References

  1. Richardson, S. D.; Ternes, T. A. (2018)  Water Analysis: Emerging Contaminants and Current Issues. Anal. Chem.  90 (1), 398–428.
  2. Field, J. A.; Higgins, C.; Deeb, R.; Conder, J. FAQs Regarding PFASs Associated with AFFF Use at U . S . Military Sites FAQs Regarding PFASs Associated with AFFF. August 2017, 1–32.
  3. United States Department of Environmental Protection. Method 537: Determination Of Selected Perfluorinated Alkyl Acids In Drinking Water By Solid Phase Extraction And Liquid Chromatography/Tandem Mass Spectrometry (LC-MS/MS); 2009.
  4. Grandjean, P.; Clapp, R. (2015) Perfluorinated Alkyl Substances: Emerging Insights into Health Risks. New Solut. 25 (2), 147–163.
  5. Quantitation of PFASs in Water Samples Using LC-MS/MS Large-Volume Direct Injection and Solid Phase Extraction; 2017. SCIEX technical note RUO-MKT-02-4707-A.
  1. Comparing Microflow Liquid Chromatography and High-Performance Liquid Chromatography for the Analysis of Pesticides. SCIEX technical note RUO-MKT-02-11615-A.