Bile acids are cholesterol-derived molecules synthesized in the liver that function as amphipathic surfactants and systemic endocrine hormones. Once considered mere dietary surfactants, they have recently been identified as critical modulators of macronutrient metabolism as well as systemic pro-inflammatory/anti-inflammatory balance(1). We know now bile acids play multifaceted roles in human physiology, health and disease. The wider impact of these diverse molecules in cancer research, drug development, cardiovascular health, nutrition, obesity and exposomics makes them a focus of ongoing research.
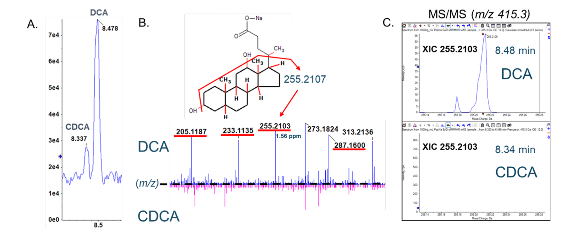
There are two primary bile acids found in humans: cholic acid (CA) and chenodeoxycholic acid (CCDA), which get conjugated by the liver with either glycine or taurine to form a total of eight possible conjugated bile acids. These conjugated bile acids are commonly referred to as bile salts and are water-soluble, thereby used to emulsify fats. Bile salts can then be dehydroxylated by gut bacteria, giving rise to secondary bile acids, deoxycholic acid and lithocholic acid. Remarkably, all four of these bile acids get recycled!
















